"Satu ons aljabar bernilai satu ton argumen verbal." -John B.S Haldane

Kutipan dari John B. S Haldane yang disebutkan di atas sangat tepat. Topik aljabar memiliki kekuatan untuk membagi pendapat dengan sengit: beberapa orang suka menganalisis aljabar sementara yang lain sangat membencinya.

Dalam artikel hari ini, kita akan menganalisis beberapa aturan dasar aljabar, persamaan, contoh, dan definisi untuk membuat informasi aljabar lebih menyenangkan bagi semua jenis pelajar.

Tersedia guru-guru Matematika terbaik
Fadil
5
5 (44 ulasan)
Fadil
Rp500,000
/jam
Gift icon
Kursus pertama gratis!
Fitria
4.9
4.9 (53 ulasan)
Fitria
Rp60,000
/jam
Gift icon
Kursus pertama gratis!
Faisal hisyam
4.9
4.9 (56 ulasan)
Faisal hisyam
Rp100,000
/jam
Gift icon
Kursus pertama gratis!
M arizal, mse
4.9
4.9 (27 ulasan)
M arizal, mse
Rp250,000
/jam
Gift icon
Kursus pertama gratis!
Muddhar
5
5 (35 ulasan)
Muddhar
Rp100,000
/jam
Gift icon
Kursus pertama gratis!
Michael
5
5 (31 ulasan)
Michael
Rp100,000
/jam
Gift icon
Kursus pertama gratis!
Ogifta
4.9
4.9 (55 ulasan)
Ogifta
Rp120,000
/jam
Gift icon
Kursus pertama gratis!
Idrus
4.9
4.9 (49 ulasan)
Idrus
Rp75,000
/jam
Gift icon
Kursus pertama gratis!
Fadil
5
5 (44 ulasan)
Fadil
Rp500,000
/jam
Gift icon
Kursus pertama gratis!
Fitria
4.9
4.9 (53 ulasan)
Fitria
Rp60,000
/jam
Gift icon
Kursus pertama gratis!
Faisal hisyam
4.9
4.9 (56 ulasan)
Faisal hisyam
Rp100,000
/jam
Gift icon
Kursus pertama gratis!
M arizal, mse
4.9
4.9 (27 ulasan)
M arizal, mse
Rp250,000
/jam
Gift icon
Kursus pertama gratis!
Muddhar
5
5 (35 ulasan)
Muddhar
Rp100,000
/jam
Gift icon
Kursus pertama gratis!
Michael
5
5 (31 ulasan)
Michael
Rp100,000
/jam
Gift icon
Kursus pertama gratis!
Ogifta
4.9
4.9 (55 ulasan)
Ogifta
Rp120,000
/jam
Gift icon
Kursus pertama gratis!
Idrus
4.9
4.9 (49 ulasan)
Idrus
Rp75,000
/jam
Gift icon
Kursus pertama gratis!
Mulai

Aturan-Aturan Dasar Aljabar

kesamaan aljabar dan olahraga
Dari olahraga hingga aljabar, ada aturan untuk semuanya. (Sumber pixabay)

Tanpa aturan dan batasan, masyarakat tidak dapat hidup secara efektif; kita perlu diberi tahu apa yang harus dilakukan untuk mengetahui batasan-batasan kita. Oleh karena itu, konsep dan disiplin ilmu yang umum digunakan dalam masyarakat modern perlu memiliki peraturan agar dapat berfungsi dengan baik dan dipahami oleh manusia.

Sangat penting untuk menyatakan bahwa ada aturan untuk segala sesuatu dalam hidup. Mulai dari menghitung konsumsi bahan bakar hingga menentukan jumlah tip yang didapatkan pelayan per jam, aljabar terus digunakan.

Oleh karena itu, tanpa menunda lebih lanjut, kita akan mempertimbangkan beberapa aturan aljabar untuk aritmatika, eksponen, dan radikal.

Aturan-Aturan Aljabar yang Berkaitan dengan Aritmetika

Sifat Distributif Perkalian

Sifat distributif perkalian didasarkan pada kenyataan bahwa Anda mengalikan sesuatu dengan jumlah dua atau lebih suku lain. Perkalian Anda dapat didistribusikan ke masing-masing suku yang berbeda yang terkait dengan persamaan tersebut. Contoh sifat distributif dari pengulangan adalah sebagai berikut:

y(x + y) = xy + xz

Setelah urutan operasi yang diperlukan telah dikembangkan, jawaban atau masalah telah ditemukan.

Aturan-Aturan Penjumlahan, Pengurangan, Pembagian, dan Perkalian Pecahan

Hukum aljabar untuk aritmetika sedikit berubah ketika berhadapan dengan persamaan yang menampilkan pecahan.

Misalnya, jika Anda ingin mengalikan pecahan, pembilang pecahan berlaku bagi pecahan sebagai angka lengkap. Oleh karena itu, jika Anda perlu mengalikan pecahan, kalikan pembilangnya dan tujuannya tercapai.

Contoh berikut akan membantu orang-orang yang lebih visual ketika mencoba untuk mengalikan pecahan:

6 (1/3) = ab/c

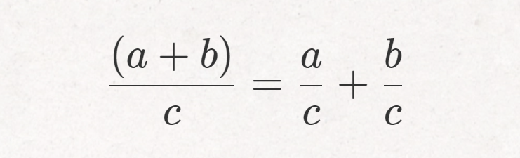
Membagi suatu bagian sangat erat kaitannya dengan aturan yang disebutkan sebelumnya tentang perkalian. Dengan membagi penyebut pecahan, itu akan memiliki efek yang sama seperti mengalikan pembilang. Berikut ini adalah contoh untuk memahami lebih baik:

aturan aljabar untuk pecahan
Contoh sempurna aturan pembagian pecahan dalam aljabar. (Sumber Algebrarules.com)

Aturan-aturan penjumlahan dan pengurangan pecahan itu sama: penyebutnya harus sama; seperti halnya dalam aritmatika. Pembilang harus dilampirkan, dan jumlahnya harus ditempatkan di atas penyebut yang sama. Berikut ini adalah contoh yang bagus untuk memahami dasar-dasar penjumlahan atau pengurangan pecahan dalam aljabar:

pengurangan dan penjumlahan aljabar
Porsi aturan-aturan penambahan dan pengurangan tetap sama; hanya simbolnya yang berubah. (Sumber Algebrarules.com)

Ada banyak aturan aljabar lain terkait dengan aritmetika yang dapat dianalisis; yang disebutkan sebelumnya hanya beberapa yang harus dikuasai dari awal.

Aturan-Aturan Aljabar untuk Eksponen

Jika Anda membaca artikel ini dan lupa apa itu eksponen, kami akan menyegarkan ingatan Anda. Eksponen adalah besaran yang mewakili daya di mana angka atau ekspresi akan dikalikan sebanyak pangkat, biasanya dinyatakan sebagai simbol pangkat di samping nama atau frasa dalam aljabar.

Sama seperti ada aturan untuk segala sesuatu yang lain dalam aljabar, berikut ini adalah beberapa aturan untuk eksponen:

  • Aturan Eksponen Nol: misalnya, a0 = 1 artinya apa pun yang memiliki pangkat nol adalah 1.
  • Aturan Daya (Power Rule): juga dikenal sebagai power to power rule, penting untuk menyatakan bahwa untuk menaati aturan ini Anda perlu mengalikan eksponen. Peraturan kecil lainnya yang terkait dengan "power to power" termasuk aturan hasil bagi daya.
  • Kaidah Darab: darab dari dua daya dengan basis serupa sama dengan basis yang dijumlahkan dengan jumlah dua eksponen. Aturan ini dapat digunakan secara efektif dengan menuliskan eksponen sebagai perkalian; ini membuat persamaan tampak realistis dan akurat.

Cek di sini untuk les matematika yang bagus

Aturan-Aturan Aljabar Berbeda untuk Radikal

Di dunia aljabar yang utuh, ekspresi radikal sangat penting dan dapat dilihat sebagai kebalikan dari ekspresi eksponensial karena radikal menghasilkan akar.

Salah satu aturan khas yang terkait dengan radikal dalam aljabar dapat dilihat sebagai berikut:

persamaan aljabar tentang akar dan pangkat
Sementara radikal dan eksponen cukup berbeda, praktik mereka cocok. Dalam ekspresi ini, akar suatu bilangan sama dengan bilangan yang dipangkatkan menjadi satu di atas n. (Sumber: Algebrarules.com)

Ekspresi aljabar yang digambarkan di atas sesuai dengan aturan eksponen kritis am ∙ an = am + n.

Ada banyak definisi, kosakata, dan aturan lain yang dapat diperoleh tentang radikal, yang disebutkan sebelumnya hanyalah sebagian kecil materi yang memungkinkan semua orang memahami betapa logis dan terstrukturnya matematika terutama aljabar.

Temukan guru Matematika online hari ini di Superprof.

Persamaan Aljabar Sederhana

Sebelum menyoroti beberapa persamaan aljabar sederhana yang dapat ditemukan di buku teks atau ujian, penting untuk mendefinisikan persamaan kata. Menurut banyak sumber, perbandingan dapat dipahami sebagai dua ekspresi di kedua sisi tanda yang menunjukkan hubungan keduanya. Hubungan dalam persamaan mungkin sama dengan, kurang dari, lebih dari, atau beberapa bentuk dari keduanya.

Ketika kebanyakan orang menyebutkan persamaan, mereka mengacu pada persamaan aljabar; ini adalah persamaan yang melibatkan huruf dan angka.

Bagaimana persamaan aljabar diselesaikan?

Persamaan aljabar diselesaikan dengan mengerjakan angka-angka yang diwakili oleh huruf-huruf tersebut.

Berikut ini adalah contoh sepele betapa simpelnya persamaan sederhana 1 + 1 = 2 dan 2 + 5 > 2 + 4 dapat diubah menjadi persamaan aljabar dengan mensubstitusi salah satu bilangan dengan x:

1 + 1 = x dan x + 5 > x + 4

Oleh karena itu, setelah mengganti beberapa angka dengan x, kita dapat dengan jelas menentukan bahwa nilai x adalah 2. Huruf x dapat digunakan untuk membuat ekspresi aljabar dengan cara apa pun; y juga digunakan untuk mewakili elemen persamaan yang tidak diketahui.

Dalam persamaan apa pun, ada suku dan komponen yang mewakili hal yang berbeda. Misalnya, jika suatu istilah mencakup huruf dan angka, pesannya dikenal sebagai variabel, dan angkanya adalah koefisiennya. Juga, aturan persamaan lainnya adalah bahwa jika kata-kata memiliki variabel yang persis sama, kata-kata tersebut dikenal sebagai suku-suku serupa dan dapat ditambahkan, dikurangkan, dibagi, dan dikalikan seolah-olah itu adalah bilangan sederhana.

Dalam beberapa situasi untuk menyelesaikan persamaan aljabar secara efektif, ekspresi perlu diatur ulang, dan x perlu diisolasi. Serangkaian aturan sederhana perlu diikuti untuk mengatur ulang persamaan bahkan sebelum persamaan dapat mulai ditangani dan dikerjakan.

Dengan mengetahui informasi yang telah disebutkan sebelumnya tentang persamaan, siswa mempersiapkan diri untuk berhasil, menghindari kebingungan, dan memahami dasar-dasar aljabar dengan benar sejak awal.

Cek di sini untuk les privat matematika Jakarta Barat

Contoh-Contoh Dasar Aljabar untuk Semua Jenis Pelajar

Karena aljabar adalah disiplin akademis yang membuat banyak individu menderita sakit mental, ada banyak sumber-sumber online yang tersedia, menawarkan penjelasan langkah demi langkah, contoh, pelajaran video, permainan, dan podcast tentang berbagai aspek.

Untuk menemukan contoh baru yang dapat dipelajari setelah jam sekolah, kami sangat merekomendasikan mengunjungi situs seperti Study.com untuk menonton video 5-10 menit (sempurna untuk pelajar visual!), mengerjakan kuis, dan mengasimilasi konsep dasar.

Juga, Mathplanet diatur dengan indah dengan contoh-contoh aljabar yang menyentuh peristiwa kehidupan nyata. Benar-benar ada banyak sekali informasi yang dirancang untuk membantu siswa yang kesulitan agar berhasil jika Anda tahu di mana mencarinya.

Menemukan guru aljabar adalah ide bagus untuk memahami konsep aljabar penting.

Definisi Aljabar

alat lengkap matematika
Memiliki semua alat yang diperlukan untuk kelas matematika tidak ada artinya jika Anda tidak memiliki teori dan keterampilan untuk mendukungnya. (Sumber: pixabay)

Jika saat membaca artikel ini, ada beberapa ungkapan, istilah, atau kosakata tertentu yang belum Anda pahami, Anda tidak sendirian. Tidak semua dari kita adalah ahli matematika, dan sejujurnya, sebelum saya menulis artikel ini, saya perlu meneliti beberapa ekspresi untuk menggerakkan ingatan saya di luar sekolah.

Berikut ini adalah beberapa istilah aljabar khusus beserta definisinya:

  • Radikal: meskipun ada banyak definisi untuk kata radikal, dalam matematika itu berarti suatu besaran yang terbentuk atau dinyatakan sebagai akar dari yang lain.
  • Aritmetika: Berasal dari kata Yunani arithmos, "bilangan", aritmetika adalah cabang matematika yang mencakup ilmu tentang bilangan, terutama sifat-sifat penjumlahan, pengurangan, perkalian, dan pembagian.
  • Pembilang: didefinisikan sebagai angka di atas garis dalam pecahan biasa yang menunjukkan berapa banyak bagian dari penyebut, nama di garis bawah, yang diambil. Contoh: 2/6.
  • Penyebut: bilangan yang berada di bawah garis pada pecahan biasa; pembagi.

Kata-kata berbasis aljabar lainnya seperti variabel dapat ditemukan di artikel Superprof.

Belajar lebih banyak tentang aturan, persamaan, dan contoh spesifik aljabar adalah sesuatu yang dapat dilakukan bahkan sebelum dipelajari di sekolah menengah, sesi belajar untuk mahasiswa yang ingin mengembangkan matematika, atau sebagai penyegaran bagi orang dewasa yang baru saja lupa dengan konsep-konsep yang telah dipahami sebelumnya.

Cari banyak guru matematika di Superprof Indonesia.

Ringkaskan dengan AI

Apa Anda menyukai artikel ini? Berikan penilaian Anda

4.00 (6 nilai)
Loading...

Kurniawan

Seseorang yang senang berbagi ilmu dan pengetahuan yang diharapkan akan bermanfaat bagi banyak orang