Dalam mata pelajaran kimia, salah satu materi yang diajarkan adalah pengenceran larutan. Pengenceran larutan adalah salah satu konsep dasar yang banyak diterapkan dalam berbagai situasi, baik dalam dunia pendidikan maupun kehidupan sehari-hari. Misalnya, saat kita akan meminum sirup, cairan sirup yang pekat harus diencerkan dengan air agar rasanya pas dan sesuai dengan selera. Konsep yang sama juga diterapkan dalam laboratorium kimia untuk menyesuaikan konsentrasi larutan sesuai dengan kebutuhan percobaan.
Pengertian Pengenceran Larutan
Larutan adalah campuran homogen antara dua buah zat atau lebih, di mana salah satunya disebut zat terlarut dan lainnya sebagai zat pelarut. Dalam larutan, biasanya jumlah zat terlarut lebih sedikit dibandingkan dengan zat pelarut. Zat pelarut ini dapat berupa air, metanol, etanol, atau bahkan cairan organik lainnya, tergantung pada jenis larutannya.
Pengenceran larutan adalah proses penurunan konsentrasi larutan dengan menambahkan zat pelarut, sehingga konsentrasi larutan menjadi lebih encer dibandingkan dengan konsentrasi awalnya. Pada prinsipnya, pengenceran bertujuan untuk menambah volume larutan dengan cara menambah pelarut, sementara jumlah mol zat terlarut tetap konstan.
Sebagai contoh yang sederhana, kita bisa melihat pengenceran sirup di rumah. Sirup yang sangat manis (pekatan tinggi) harus diencerkan dengan air untuk mendapatkan rasa yang sesuai. Prinsip dasar yang sama berlaku pada semua jenis larutan kimia.
Cek di sini untuk mempelajari tentang termokimia
Faktor-faktor yang Mempengaruhi Pengenceran Larutan

Beberapa faktor yang memengaruhi proses pengenceran larutan meliputi:
- Konsentrasi Awal: Semakin tinggi konsentrasi awal larutan, semakin banyak air yang diperlukan untuk mengencerkannya.
- Volume Pelarut: Volume pelarut yang ditambahkan akan mempengaruhi seberapa jauh larutan awal diencerkan.
- Jenis Pelarut: Sifat-sifat pelarut seperti densitas, viskositas, dan kelarutan dapat memengaruhi proses pengenceran.
- Suhu: Pada umumnya, penambahan air (pelarut) dilakukan pada suhu kamar, namun suhu yang berbeda dapat memengaruhi kelarutan zat dalam pelarut.
Contoh Penerapan Pengenceran Larutan
Pengenceran larutan memiliki banyak aplikasi dalam berbagai bidang. Contoh-contoh termasuk:
- Dalam laboratorium kimia, pengenceran larutan sering digunakan untuk menyiapkan larutan standar dengan konsentrasi yang tepat untuk digunakan dalam percobaan.
- Dalam industri farmasi, pengenceran larutan digunakan dalam pembuatan obat-obatan dan suplemen, di mana zat aktif sering kali perlu diencerkan untuk mencapai konsentrasi yang sesuai.
- Dalam industri makanan dan minuman, pengenceran larutan digunakan dalam proses pencampuran dan pembuatan minuman konsentrat.
Mengapa Larutan tertentu harus dilarutkan
Pengenceran larutan adalah proses yang penting dalam kimia karena melibatkan penambahan pelarut (biasanya air) ke dalam larutan yang ada untuk mengurangi konsentrasinya. Ada beberapa alasan mengapa larutan tertentu harus diencerkan, dan pemahaman tentang konsep ini sangat penting dalam memahami sifat-sifat larutan serta aplikasinya dalam berbagai konteks kimia.
1. Penyesuaian Konsentrasi: Salah satu alasan utama untuk melakukan pengenceran larutan adalah untuk menyesuaikan konsentrasi larutan dengan kebutuhan tertentu. Misalnya, dalam percobaan kimia di laboratorium, seringkali diperlukan larutan dengan konsentrasi yang lebih rendah agar reaksi berlangsung sesuai dengan yang diinginkan. Dengan mengencerkan larutan yang ada, kita dapat mencapai konsentrasi yang diinginkan tanpa harus membuat larutan baru dari awal.
2. Pemisahan Zat Terlarut: Dalam beberapa kasus, pengenceran larutan juga dapat digunakan untuk memisahkan zat terlarut dari larutan tersebut. Misalnya, jika terdapat endapan atau kristal yang terbentuk dalam larutan, mengencerkan larutan tersebut dapat membantu mengendapkan zat tersebut sehingga dapat dipisahkan dari larutan secara fisik.
3. Pengendalian Reaksi Kimia: Beberapa reaksi kimia memerlukan konsentrasi larutan yang tepat untuk berlangsung dengan efisien. Dalam hal ini, pengenceran larutan dapat digunakan untuk mengendalikan kecepatan atau hasil reaksi kimia tersebut. Dengan mengubah konsentrasi larutan, kita dapat mengubah laju reaksi dan mengoptimalkan kondisi reaksi sesuai dengan kebutuhan.
4. Keamanan: Dalam beberapa kasus, larutan dengan konsentrasi tinggi dapat menjadi berbahaya atau korosif. Dengan mengencerkan larutan tersebut, risiko kecelakaan atau cedera akibat kontak dengan larutan tersebut dapat dikurangi. Ini sangat penting dalam lingkungan laboratorium dan industri di mana keselamatan adalah prioritas utama.
5. Ekonomis: Pengenceran larutan juga dapat menjadi pilihan yang ekonomis, terutama jika bahan kimia yang digunakan mahal atau sulit didapat. Dengan mengencerkan larutan yang sudah ada, kita dapat menghemat biaya dan sumber daya yang diperlukan untuk membuat larutan baru dari awal.
Dalam pembelajaran kimia, pemahaman tentang pengenceran larutan penting karena memungkinkan siswa untuk memahami bagaimana mengontrol konsentrasi larutan sesuai dengan kebutuhan eksperimen atau aplikasi praktis. Selain itu, konsep ini juga relevan dalam pemahaman lebih lanjut tentang kesetimbangan kimia, laju reaksi, dan berbagai aplikasi industri kimia.
Dengan demikian, pengenceran larutan bukan hanya sekadar langkah praktis dalam percobaan laboratorium, tetapi juga konsep yang fundamental dalam kimia yang memengaruhi banyak aspek kehidupan sehari-hari serta aplikasi industri.
Periksa di sini untuk mempelajari titik didih
Rumus Pengenceran Larutan
Pada pengenceran larutan, kita menggunakan rumus pengenceran untuk menghitung konsentrasi larutan setelah pengenceran. Apabila volume larutan sebelum diencerkan adalah V1 liter dan konsentrasi larutan sebanyak M1 molar, maka jumlah mol zat terlarut yang ada dalam larutan tersebut adalah
. Setelah proses pengenceran, volume larutan akan berubah menjadi V2 liter dan konsentrasi larutan menjadi M2 molar.
Karena jumlah mol zat terlarut tidak berubah, maka cara menghitung larutan dapat ditulis menggunakan persamaan berikut:
Di mana:
- V1 = volume larutan sebelum pengenceran (dalam liter atau mL)
- M1 = konsentrasi larutan sebelum pengenceran (dalam mol/L)
- V2= volume larutan setelah pengenceran (dalam liter atau mL)
- M2= konsentrasi larutan setelah pengenceran (dalam mol/L)
Persamaan m1v1 = m2v2 ini merupakan dasar perhitungan untuk mendapatkan konsentrasi larutan setelah pengenceran, yang banyak digunakan dalam percobaan kimia di laboratorium.
Terkadang, pada pengenceran, kita juga membutuhkan rumus pengenceran bertingkat. Rumus ini digunakan saat pengenceran dilakukan secara bertahap, seperti saat larutan pekat pertama kali diencerkan untuk membuat larutan stok dan kemudian diencerkan lagi untuk keperluan percobaan.
Tata Cara Pengenceran Larutan dalam Laboratorium

Di laboratorium, pengenceran larutan dilakukan dengan hati-hati agar konsentrasi larutan yang diinginkan dapat tercapai dengan tepat. Berikut adalah langkah-langkah tata cara pengenceran larutan yang sering digunakan di laboratorium kimia:
- Siapkan alat dan bahan
Alat yang dibutuhkan biasanya berupa labu pengenceran, pipet, dan pelarut (seperti air atau pelarut lainnya sesuai kebutuhan percobaan). - Lakukan perhitungan pengenceran
Hitung volume pelarut yang diperlukan dengan menggunakan rumus v1.n1=v2.n2. - Masukkan larutan pekat ke labu takar
Gunakan pipet untuk memindahkan larutan pekat ke dalam labu takar dengan ukuran sesuai volume yang akan dibuat. - Tambahkan pelarut
Tambahkan pelarut hingga mencapai ½ atau ¾ volume labu takar. Aduk hingga larutan menjadi homogen. - Aduk hingga merata
Setelah penambahan pelarut, aduk larutan hingga tercampur merata. - Tambahkan pelarut hingga batas volume yang diinginkan
Terakhir, tambahkan pelarut hingga mencapai volume akhir yang diinginkan pada labu takar. Aduk lagi hingga merata. - Tutup dan simpan
Setelah selesai, tutup labu pengenceran dan simpan larutan yang telah selesai diencerkan, atau siap untuk digunakan dalam percobaan.
Catatan: Saat menggunakan labu ukur, pastikan pembacaan volume dilakukan dengan tepat pada batas miniskus untuk memastikan keakuratan pengukuran.
Cek di sini jika sedang ingin mempelajari struktur atom
Contoh Soal
Untuk lebih memahami bagaimana menggunakan rumus pengenceran, berikut beberapa contoh soal pengenceran larutan yang bisa membantu Anda memahami materi ini lebih baik:
Contoh Soal 1: Pengenceran Larutan HCl
Jika 200 mL larutan HCl 0,4 M dicampur dengan 300 mL air, berapa konsentrasi larutan HCl yang dihasilkan?
Penyelesaian:
Gunakan rumus pemekatan:
Substitusi nilai yang diketahui:
Jadi, konsentrasi larutan HCl yang dihasilkan adalah 0,16 M.
Contoh Soal 2: Pengenceran Larutan NaCl
Jika 2 liter larutan NaCl 1 M diencerkan hingga volumenya menjadi 5 liter, bagaimana cara mencari konsentrasi larutan NaCl yang dihasilkan?
Penyelesaian:
Gunakan rumus pengenceran:
Substitusi nilai yang diketahui:
Jadi, konsentrasi larutan NaCl yang dihasilkan adalah 0,4 M.
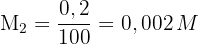
Contoh Soal 3: Pengenceran Larutan Amoniak
Jika 10 mL larutan amoniak 0,02 M dicampur dengan 90 mL air, berapa konsentrasi larutan amoniak yang dihasilkan?
Penyelesaian:
Gunakan rumus pengenceran:
Substitusi nilai yang diketahui:
Jadi, perhitungan larutan stok amoniak yang dihasilkan adalah 0,002 M.
Latihan soal:
jika 10 ml larutan naoh 0,1 m diencerkan sampai volume 1.000 ml, maka ph larutan yang terjadi adalah
Periksa di sini untuk mempelajari sel elektrolisis
Faktor Pengenceran

Faktor pengenceran atau rasio pengenceran adalah rasio antara volume larutan akhir dan volume larutan awal. Faktor pengenceran ini menunjukkan seberapa banyak larutan yang telah diencerkan. Secara matematis, rumus faktor pengenceran spektrofotometri dapat ditulis sebagai:
Di mana:
- V1= volume larutan awal (sebelum pengenceran)
- V2= volume larutan akhir (setelah pengenceran)
Misalnya, jika kita memiliki 50 mL larutan dan setelah pengenceran volume larutan menjadi 200 mL, maka faktor pengencerannya adalah:
Faktor Pengenceran= 
Faktor pengenceran ini sering digunakan untuk menghitung pengenceran dalam eksperimen spektrofotometri atau ketika menggunakan larutan stok.
Kesimpulan:
Pengenceran larutan adalah konsep penting dalam kimia yang memungkinkan kita untuk mengubah konsentrasi suatu larutan dengan menambahkan pelarut. Dengan memahami teori di balik pengenceran, faktor yang memengaruhinya, dan contoh aplikasinya, kita dapat menggunakannya secara efektif dalam berbagai konteks. Untuk pemahaman yang lebih mendalam atau bantuan dalam mempelajari topik ini, menghubungi tutor yang berpengalaman melalui platform belajar seperti Superprof bisa menjadi pilihan yang baik. Ayo mulai perjalanan belajar Anda menuju pemahaman yang lebih baik!
Untuk lebih mendalami materi ini dan memperoleh bantuan langsung dari tutor yang berpengalaman, Anda dapat mempertimbangkan untuk belajar bersama Superprof. Dengan dukungan mereka, Anda dapat menguasai konsep-konsep kimia dengan lebih baik dan meraih kesuksesan dalam studi Anda. Ayo mulai perjalanan belajar Anda sekarang bersama Superprof!
Ringkaskan dengan AI









