Matematika sering kali direpresentasikan sebagai mata pelajaran yang sulit bagi sebagian besar siswa maupun orang dewasa! Namun, sekecil apapun materi yang Anda sukai dalam matematika ini dapat membentuk bagian fundamental dari proses pendidikan Anda, dan terlebih jika Anda dapat menguasainya, maka Anda sedang dalam perjalanan menuju keberhasilan nilai akademis!
Selama Anda belajar tes ujian kelulusan atau ujian masuk perguruan tinggi, tidak akan Anda lewatkan soal-soal pemecahan masalah matematika: mulai dari dasar-dasar aritmatika, pindah ke penyelesaian persamaan, aljabar, geometri, hingga soal pecahan!
Maka dari itu dalam proses studi Anda nantinya, keterampilan matematika berguna untuk membentuk pola pikir pemecahan masalah dan meningkatkan kemampuan sosial Anda, membantu Anda menyelesaikan tugas-tugas Anda terlepas apakah itu berhubungan langsung dengan matematika atau tidak!
Dengan mengingat semua ini, sekarang saatnya untuk membahas salah satu topik utama dalam matematika yang akan Anda temukan berulang kali: memecahkan persamaan matematika!
Dengan kalkulator di tangan dan secercah tekad yang tersisa, Anda akan sampai di akhir artikel ini tentang bagaimana menyelesaikan persamaan tersebut. Saat kita selesai, kemungkinan besar Anda dapat menyelesaikan soal matematika berikutnya dengan mudah, baik itu soal polinomial, persamaan linier, pemfaktoran, atau apa pun lainnya!
Cek di sini untuk les matematika di Medan
Apa itu Persamaan dalam Matematika?
Sama seperti bidang lainnya, ketika kita berurusan dengan sistem penyelesaian persamaan serta grafiknya, penting untuk memahami terminologi yang digunakan.
Guru matematika Anda pasti akan memberi tahu Anda bahwa penting untuk memahami definisi dari istilah matematika jika Anda ingin pintar matematika, dan itu bukan hal yang salah!
Jadi, apa definisi persamaan itu? Jika kita merujuk pada konsep dasar, persamaan matematika adalah kesamaan antara dua ekspresi aljabar yang melibatkan satu atau lebih variabel. Menurut kamus Larousse, dapat diartikan sebagai berikut ini:
Kesamaan yang belum terselesaikan untuk variabel tertentu atau variabel yang tidak diketahui
Berdasar dari definisi kamus itu , istilah "variabel" dan "tidak diketahui" telah muncul dan keduanya adalah akar permasalahan yang tidak akan hilang sampai kita selesai menyelesaikan sebuah persamaan! Variabel hanyalah kata ganti untuk satu nilai dengan nilai lain: jika Anda pernah mengerjakan jenis aljabar apa pun, tentunya Anda sudah terbiasa dengan penggunaan "x", ini adalah variabel Anda. Yang tidak diketahui biasanya merupakan variabel yang nilainya ditanyakan. Inilah yang kami coba cari tahu!
Jika ini tampaknya terdengar agak teknikal bagi Anda, berikut definisi yang mungkin lebih sering Anda dengar di ruang kelas:
Persamaan adalah kesamaan yang terdiri dari variabel (sering disebut 'x'). Dalam penyelesaiannya, diminta untuk mennemukan nilai dari variabel tersebut.
Jadi, Anda sekarang memiliki pengetahuan terkait konsep matematis yang Anda perlukan untuk mulai menyelesaikan persamaan:
- Persamaan antara dua ekspresi aljabar
- Satu atau lebih variabel yang tidak diketahui nilainya dan yang sedang ditanyakan
- Variabel yang disebut 'x'
- Digunakan untuk memecahkan soal
Baik untuk persamaan linier, persamaan kuadrat, atau sistem persamaan, langkah yang digunakan smaa saja yakni memfaktorkan, menghilangkan koefisien, dan lalu menyelesaikannya.
Cek di sini untuk bimbel matematika
Perbedaan Persamaan dan Pertidaksamaan
Dalam matematika, penting untuk memahami perbedaan persamaan dan pertidaksamaan agar dapat menyelesaikan soal dengan tepat. Persamaan adalah hubungan antara dua ekspresi yang memiliki nilai sama, sedangkan pertidaksamaan menyatakan hubungan yang tidak sama, misalnya lebih besar (>), lebih kecil (<), lebih besar sama dengan (≥), atau lebih kecil sama dengan (≤). Pemahaman perbedaan ini membantu siswa memilih metode penyelesaian yang sesuai dan menghindari kesalahan perhitungan.
Selain perbedaan simbol, perbedaan persamaan dan pertidaksamaan juga terlihat pada jumlah solusi. Persamaan biasanya memiliki jumlah solusi tertentu atau terbatas, sedangkan pertidaksamaan bisa memiliki himpunan solusi yang lebih luas, bahkan berupa interval atau seluruh bilangan. Memahami konsep ini menjadi dasar penting sebelum mempelajari topik lanjutan, seperti sistem persamaan dan pertidaksamaan, atau materi kalkulus dan fungsi.
Bagian-Bagian dalam Persamaan
Sebuah persamaan dapat terdiri dari berbagai elemen penting, seperti koefisien, variabel, operator, konstanta, suku, ekspresi, serta tanda sama dengan. Dalam sebuah persamaan, keberadaan tanda “=” adalah syarat utama karena kedua sisi harus memiliki nilai yang setara.
Suatu persamaan tidak selalu harus memuat banyak suku, variabel, atau operator. Contohnya, 5 + 10 = 15 merupakan persamaan aritmetika sederhana yang tidak menggunakan variabel. Sebaliknya, persamaan yang melibatkan variabel termasuk ke dalam persamaan aljabar.
Macam-Macam Persamaan
Dalam matematika, persamaan merupakan dasar dari berbagai proses perhitungan dan pemecahan masalah. Setiap persamaan memiliki tingkat kerumitan yang berbeda, tergantung pada derajat atau pangkat tertinggi dari variabel yang terdapat di dalamnya. Pemahaman mengenai jenis-jenis persamaan ini penting agar kita dapat memilih metode penyelesaian yang tepat, baik dalam konteks pembelajaran, perhitungan ilmiah, maupun penerapan praktis sehari-hari.
Berdasarkan derajatnya, persamaan dapat dikategorikan menjadi tiga kelompok utama:
· Persamaan Linear
Persamaan yang memiliki derajat tertinggi satu disebut sebagai persamaan linear. Artinya, variabel dalam persamaan tersebut hanya berpangkat satu. Jenis persamaan ini masih dapat dibagi lagi menjadi beberapa bentuk, seperti persamaan linear satu variabel, dua variabel, tiga variabel, dan seterusnya.
Untuk dua variabel, bentuk umum persamaan linear biasanya dituliskan sebagai aX + bY – c = 0, di mana a dan b merupakan koefisien dari variabel X dan Y, sedangkan c berfungsi sebagai konstanta. Persamaan ini merupakan dasar dalam banyak cabang matematika, terutama yang berkaitan dengan garis lurus dan hubungan linear antar variabel.
· Persamaan Kuadrat
Persamaan kuadrat adalah persamaan polinomial berderajat dua yang memiliki bentuk umum ax² + bx + c = 0, dengan syarat a ≠ 0. Persamaan ini muncul dalam banyak konteks matematika, seperti perhitungan luas, gerak parabola, hingga analisis fungsi.
Untuk menyelesaikan persamaan kuadrat, terdapat beberapa metode yang umum digunakan, di antaranya:
- Memfaktorkan atau membagi suku tengah, yaitu memecah persamaan menjadi dua faktor yang menghasilkan solusi.
- Melengkapkan kuadrat sempurna, yaitu mengubah bentuk persamaan sehingga menjadi kuadrat sempurna yang mudah diselesaikan.
- Menggunakan rumus kuadrat (metode diskriminan), yang melibatkan nilai diskriminan (D = b² − 4ac) untuk menentukan jumlah dan jenis akar.
Metode mana yang digunakan biasanya bergantung pada bentuk persamaannya serta kemudahan dalam melakukan manipulasi aljabarnya.
· Persamaan Kubik
Persamaan kubik adalah persamaan polinomial berderajat tiga, yaitu persamaan di mana pangkat tertinggi variabel adalah 3. Bentuk umum persamaan kubik dengan variabel x adalah:
ax³ + bx² + cx + d = 0, dengan a ≠ 0.
Persamaan ini memiliki sifat yang lebih kompleks dibandingkan persamaan linear atau kuadrat karena dapat memiliki hingga tiga akar yang bisa berupa akar real ataupun kombinasi akar real dan kompleks. Persamaan kubik sering muncul dalam berbagai konteks matematika dan fisika, seperti analisis grafik fungsi, volume bangun ruang, dinamika gerak, hingga pemodelan fenomena alam yang melibatkan perubahan non-linear.
Penyelesaian persamaan kubik dapat dilakukan dengan berbagai metode, seperti pemfaktoran, substitusi, atau menggunakan rumus umum persamaan kubik (Cardano’s formula), meskipun metode terakhir biasanya lebih rumit dan jarang digunakan dalam penyelesaian dasar.
Masing-masing jenis memiliki bentuk, karakteristik, dan cara penyelesaiannya sendiri.
Equation
Equation adalah istilah dalam bahasa Inggris yang merujuk pada sebuah persamaan; dengan kata lain, matematika persamaan adalah kesamaan yang menyatakan hubungan antara dua ekspresi matematika yang dihubungkan oleh tanda sama dengan (=). Dalam konteks pembelajaran matematika, equation biasanya digunakan untuk menunjukkan keterkaitan antara variabel, konstanta, dan operasi matematika sehingga menghasilkan nilai yang seimbang. Equation artinya secara sederhana adalah persamaan, namun istilah ini lebih umum digunakan dalam literatur global, buku referensi, dan penelitian matematika tingkat lanjut.
Dalam dunia matematika internasional, istilah equation digunakan untuk menggambarkan sebuah kesetaraan antara dua ekspresi yang melibatkan variabel maupun konstanta (math equation). Setiap equation menuntut kita untuk menemukan nilai variabel yang membuat kedua sisi hubungan tersebut setara. Pemahaman mengenai equations tidak hanya membantu dalam mempelajari aljabar dasar, tetapi juga menjadi fondasi penting dalam kalkulus, statistika, hingga pemodelan matematika modern. Karena itulah, memahami konsep equations sejak awal akan sangat membantu Anda dalam menyelesaikan berbagai bentuk persoalan matematika di jenjang pendidikan apa pun.
Menentukan Persamaan
Dalam proses menyelesaikan soal matematika, langkah awal yang sering menjadi kunci adalah tentukan persamaan yang paling sesuai dengan informasi yang diberikan. Menentukan persamaan sejak awal membantu mengubah masalah verbal atau situasional menjadi bentuk matematis yang lebih mudah dianalisis. Pada tahap ini, siswa harus memahami hubungan antar variabel dan mengidentifikasi nilai-nilai yang diketahui maupun yang belum diketahui.
Setelah persamaan yang tepat berhasil ditentukan, barulah metode penyelesaian dapat dipilih dengan lebih efektif. Dengan menentukan persamaan secara tepat, proses seperti substitusi, eliminasi, atau penggunaan rumus baku dapat dilakukan secara lebih terarah. Hal ini tidak hanya mempermudah penyelesaian, tetapi juga membantu siswa memahami alur logis dari setiap langkah dalam pemecahan masalah matematika.
Keterampilan yang Dibutuhkan untuk Memecahkan Persamaan Matematika
Agar bisa memecahkan persamaan matematika, ada keterampilan tertentu yang relevan dengan studi matematika Anda, serta "kemampuan problem-solving" yang terkenal yang kami dapatkan sepanjang karier akademis kami dan yang menjadikan kami ahli matematika berkompeten.
Kemampuan Problem-Solving
Pemahaman mendalam terkait matematika adalah alasan mengapa sebagian besar siswa dan orang dewasa tidak melihat aplikasi matematika dalam kehidupan sehari-hari mereka dan menganggap matematika hanyalah subjek akademis.
Padahal, matematika merupakan bagian integral dari kehidupan kita sehari-hari, bahkan jika Anda sendiri jarang menggantungkannya. Dari makanan, membeli rumah, membuka rekening bank, hingga belajar: matematika ada di mana-mana dalam hidup kita; baik dalam kegiatan menambahkan, mengalikan, mengurangi, dan bahkan menyelesaikan persamaan tanpa Anda sadari!
Guru matematika Anda di sekolah (atau guru privat matematika Anda) akan memberi Anda keterampilan yang bermanfaat untuk Anda setiap hari, sepanjang sisa hidup Anda.
Berikut beberapa kunci utama untuk meningkatkan kemampuan problem-solving, diantaranya:
Teliti
Anda harus lebih teliti dan mengikuti semua langkah sebagai kunci utama untuk menyelesaikan berbagai soal matematika: terutama dalam bentuk persamaan. Ketika Anda menghadapi ujian atau sedang mengerjakan soal matematika, Anda harus mengerjakannya dengan tepat secara metodis dan logis.
Memiliki daya ingat yang kuat

Matematikawan harus bermain dengan ingatan mereka! Jika Anda berlatih dengan teratur, Anda dapat menghubungkan materi yang Anda pelajari di kelas dan mengaplikasikannya dalam penyelesaian soal-soal matematika. Menyelesaikan soal atau mengatasi berbagai permasalahan baik dalam matematika atau lainnya itu berarti bagaimana kemungkinan besar permasalahan sebelumnya muncul kembali dan dengan pengalaman yang telah Anda miliki sebelumnya, Anda dapat melewatinya dengan baik.
Terorganisir!
Untuk menyelesaikan persamaan, Anda harus mengikuti serangkaian tahapan. Menjadi terorganisir dalam proses belajar Anda dan melakukan pendekatan yang baik untuk soal-soal yang ada, memungkinkan Anda untuk menyelesaikan setiap soal-soal matematika yang ada di depan Anda tanpa panik.
Cek di sini untuk les matematika Surabaya dan tempat les matematika di Jakarta Timur
Kapankah Kita Mempelajari Persamaan Matematika?
Selama di bangku sekolah dasar, kami belajar berhitung, dan membiasakan diri dengan matematika sosial. Kami mulai menambahkan angka, menguranginya, dan mengalikannya: berbagai bentuk dasar-dasar aritmatika. Kita bahkan dapat mempelajari dasar-dasar membuat sebuah grafik, materi ini adalah dasar dalam matematika dan keterampilan yang kita perlukan untuk mulai menyelesaikan persamaan nanti.

Pada tahapan sekolah menengah, persamaan linier perlahan mulai merayap memasuki kurikulum. Di tahun pertama, kita belajar menyelesaikan persamaan sederhana, biasanya dengan persamaan yang tidak diketahui. Berikut adalah contoh persamaan yang mungkin Anda kerjakan beberapa waktu lalu:

Di sini, Anda harus menemukan nilai yang tidak diketahui: dan yang dimisalkan dalam ‘x’.
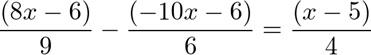
Pada saat Anda memasuki tahun kedua dan ketiga di sekolah menengah, pecahan dan angka negatif mulai muncul dalam persamaan: mempersiapkan Anda tes kelulusan dan tes ujian masuk perguruan tinggi:
Persamaannya sekarang dapat terlihat seperti ini:

Pada tingkat penyelesaian soal-soal ujian masuk atau kelulusan, kaliber soal matematika meningkat, dan Anda harus menyelesaikan persamaan yang lebih kompleks, termasuk sistem persamaan, dengan menggunakan berbagai teknik: penyelesaian kuadrat, memfaktorkan, mengganti, dan mencari titik potong pada grafik, serta beberapa lainnya! Jika Anda belajar matematika lebih lanjut, Anda juga mempelajari materi bilangan kompleks.
Tipe soal-soal matematika tidak berhenti disitu saja: Jika Anda memutuskan untuk fokus pada matematika saat masuk universitas, sudah saatnya Anda akan menemukan materi dan soal matematika yang lebih rumit pastinya!
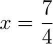
Terkadang Anda akan menemukan persamaan pangkat satu, dan Anda mungkin dapat menyelesaikan beberapa persamaan seperti di bawah ini, tetapi Anda juga akan sering menemukan persamaan kuadrat yang lebih rumit yang akan menguji pengetahuan Anda tentang beberapa topik dalam matematika: mungkin pengetahuan kalkulator grafik Anda, pengetahuan Anda tentang lereng, atau bagaimana cara Anda menyelesaikan persamaan simultan dengan eliminasi atau substitusi!
Memecahkan Persamaan Linear
Persamaan linier adalah jenis persamaan pertama yang akan Anda temui dalam pendidikan Anda, dan biasanya tergolong paling mudah dipecahkan.
Pada dasarnya, menyelesaikan persamaan linier hanya membutuhkan empat jenis operasi matematika yang sudah kita kenal sejak sekolah dasar: penjumlahan, pengurangan, perkalian dan pembagian.
Jika Anda ingin menyelesaikan persamaan linier dengan satu variabel yang tidak diketahui, tujuan Anda sederhana: Anda harus menemukan nilai dari 'x'.
Untuk persamaan sederhana, Anda dapat melakukan langkah-langkah berikut:
- Pisahkan nilai yang tidak diketahui (biasanya dimisalkan dalam 'x') pada satu sisi persamaan
- Operasikan kedua ruas yang telah dikelompokkan dengan sesamanya
- Gunakan operasi matematika yang sesuai sehingga koefisien 'x' bernilai 1
- Tuliskan jawaban Anda
Sebagai contoh, berikut adalah langkah-langkah yang dapat Anda lakukan untuk persamaan tersebut ...
(3x - 5) = (-x + 2)
Memindahkan 'x' ke satu sisi persamaan:

'X' telah diisolasi di satu sisi persamaan

Kami mengoperasikan bentuk yang sama ini disebut mengumpulkan istilah serupa

Kami telah menghilangkan koefisien 'x' (bernilai 1) dengan membagi kedua sisi dengan 4.
Selamat! Anda sekarang memiliki keterampilan yang diperlukan untuk memecahkan salah satu persamaan linier paling terkenal dalam sejarah matematika, yakni prasasti ahli matematika Diophantus dari Aleksandria.
Nisan memberikan persamaan, dan jawaban atas persamaan ini adalah usia Diophantus ketika dia meninggal. Makam itu berasal dari abad ke-3!
Mampu menyelesaikan persamaan linier adalah hal terpenting dalam pengetahuan persamaan Anda, dan Anda harus mempraktikkannya lagi dan lagi sampai Anda benar-benar memahami topik tersebut. Lebih baik mulailah dari sekarang!
Memecahkan Persamaan Kuadrat dengan Pemfaktoran
Persamaan yang difaktorkan adalah salah satu bentuk persamaan polinomial. dan Anda akan sering melihatnya sebagai persamaan kuadrat (setidaknya hingga level sekolah menengah pertama)!
Pada dasarnya, persamaan tersebut berbentuk:

'X' selalu merupakan variabel yang tidak diketahui nilainya, sedangkan a, b, c, dan d adalah koefisien yang diberikan dalam soal. Selama pelajaran matematika Anda, guru Anda mungkin pernah memberi tahu Anda hal seperti ini:
Hasil kali faktornya adalah sama dengan nol jika dan hanya jika, setidaknya salah satu faktornya sama dengan nol.
Untuk memastikan ini benar, Anda harus menyelesaikan setiap persamaan dengan faktor 'x' di dalamnya!
Kami tidak dapat mengajarkan hal ini sampai ke titik cukup yang Anda butuhkan, tapi cara terbaik untuk belajar memecahkan persamaan adalah dengan berlatih!
Berikut adalah contoh persamaan kuadrat dengan pemfaktoran dan pembahasannya:

Kedua faktor tersebut sesuai dengan dua ekspresi dalam tanda kurung. Supaya kita jelas tentang terminologi, "koefisien 'x'" yang kita bicarakan sebelumnya adalah 3 dan 2, dalam contoh ini. Untuk menyelesaikannya, kita harus mempertimbangkan kedua faktor yang berada dalam kurung terlebih dahulu. Kita akan mengerjakannya dari kiri ke kanan, dan sekali lagi kita akan menyelesaikan 'x' untuk mencari nilai yang tidak diketahui:

(karena persamaan kita harus sama dengan 0 agar hasil kali faktor-faktornya sama dengan 0)


Dan faktor lainnya ...

(karena persamaan kita harus sama dengan 0 agar hasil kali faktor-faktornya sama dengan 0)

Dan agar koefisien ‘x’ bernilai 1, maka...

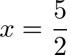
Karena terdapat dua faktor, itu berarti ada dua penyelesaian untuk 'x' dan dalam kasus ini terkadang disebut himpunan penyelesaian. Dan kami baru saja menemukan mereka berdua! 'X' adalah -4/3 atau 5/2.
Mampu menyelesaikan persamaan kuadrat sangat penting saat Anda naik tingkat. Jika Anda tidak bisa menyelesaikan persamaan kuadrat, Anda akan kesulitan dengan persamaan orde tinggi selanjutnya. Mungkin Anda perlu menyegarkan kembali pengetahuan Anda tentang cara menyelesaikan persamaan linier terlebih dahulu?
Persamaan Matematika dalam Bentuk Pecahan

Kami juga memiliki aturan untuk persamaan dalam bentuk pecahan disini! Inilah aturannya:
Pecahan bernilai nol jika dan hanya jika, pembilangnya sama dengan nol dan penyebutnya tidak sama dengan nol.
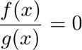
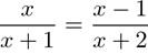
Anda bisa dihadapkan pada persamaan dalam bentuk seperti berikut ini:

Untuk menyelesaikan persamaan seperti ini dengan bentuk pecahan di dalamnya, maka Anda harus:
- Kecualikan nilai terlarang yang menyebabkan penyebut bernilai sama dengan nol
- Sederhanakan semuanya agar memiliki penyebut yang sama
- Gabungkan semuanya di satu ruas persamaan, sehingga ruas lainnya sama dengan nol
- Pecahkan persamaannya
- Pastikan nilai yang Anda miliki bukan tergolong nilai terlarang
Berikut adalah contoh menyelesaikan persamaan dalam bentuk pecahan. Kita akan menggunakan teknik yang disebut perkalian silang untuk menghilangkan bentuk pecahan.
Kami mulai dengan persamaan ini:

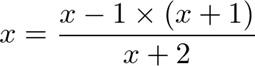
Mari kita mulai dengan menghilangkan pecahan:

Sama seperti dalam contoh persamaan linier kita sebelumnya, saya mengalikan kedua sisi dengan (x + 1). Artinya di sisi kiri, setelah saya mengalikan dengan (x + 1) kemudian saya langsung membaginya dengan (x + 1). Dan seperti dalam contoh kami sebelumnya, itu berarti keduanya saling membagi, dan saya dapat menghapusnya dari persamaan sekaligus sehingga:

Jadi, bentuk di atas sudah mulai terlihat jauh lebih sederhana: Saya sekarang punya satu 'x' di satu sisi, menghilangkan satu pecahan, dan kami sedang dalam perjalanan untuk memecahkan masalah ini. Mari kita juga menyingkirkan pecahan di sisi kanan, menggunakan cara yang sama:

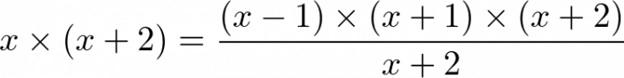
Menghilangkan pecahan di sisi kanan berarti ini semua menyederhanakan menjadi sesuatu yang jauh lebih baik:

Sekarang, kita perlu memposisikan persamaan kita sama dengan nol. Kita bisa membaginya dengan (x-1) (x + 1), tapi malah kemudian kita akan mendapatkan pecahan lagi! Sebagai gantinya, kami dapat mengoperasikan yang ada di setiap tanda kurung. Untuk melakukan ini, kami mengalikan semua yang ada di dalam tanda kurung dengan semua yang ada di luarnya. Ini mudah untuk sisi kiri, karena kita hanya perlu mengalikan x:

menjadi...

Karena kedua ekspresi ini ekuivalen (sebagai persamaan, keduanya sama), kita tidak perlu mengubah ruas kanan, karena kita baru saja menulis ulang ruas kiri: artinya tetap sama. Lihat panduan kami untuk pembahasan ujian masuk atau kelulusan.
Sisi kanan sedikit lebih rumit, tetapi mengikuti prinsip yang sama. Bilangan dari setiap set tanda kurung harus dikalikan dengan dari bilangan tanda kurung lainnya. Berikut diagramnya:

Garis merah menunjukkan kita mengalikan 'x' dari tanda kurung pertama, dan garis biru menunjukkan kita mengalikan '-1' dari tanda kurung pertama.
Dimulai dengan 'x' di kurung pertama menjadi:

Dan sekarang mengalikan '-1' di kurung pertama:

Jadi itu semua istilah tanda kurung di sisi kanan, setelah mereka dijabarkan. Sekarang kita bisa menggabungkannya menjadi satu ekspresi, yang merepresentasikan ruas kanan persamaan awal:

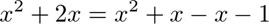
Mari kita kembalikan kedua ekspresi ini ke dalam bentuk persamaan awal kita:

Sekali lagi, ini persis sama dengan yang kita mulai, kita baru saja menghapus tanda kurung yang difaktorkan. Selanjutnya, kita akan meletakkan apa pun yang memiliki x atau x ^ 2 di sisi kiri persamaan:

Dan kumpulkan yang bervariabel sama. Dalam persamaan di atas, saya telah melakukan hal yang sama pada sisi kiri seperti sisi kanan persamaan, jadi kami akan merapikan semuanya sehingga terbentuk:

Jadi langkah terakhir seharusnya cukup mudah. Kita perlu menjadikan koefisien 'x' bernilai 1, maka kita dapatkan:

-1/2 tidak termasuk nilai terlarang (penyebab penyebut bernilai nol), jadi penyelesaiannya adalah x = -1/2. Perhatikan meskipun bagaimana soal ini dimulai sebagai persamaan kuadrat (karena ada eksponen dua pada beberapa suku 'x'), keduanya saling meniadakan, jadi kita hanya memiliki satu jawaban.
Mungkin saja Anda akan temukan soal tanpa ada penyelesaian!
Soal-soal persamaan dalam bentuk pecahan dapat mencakup semua konsep yang sama seperti yang telah kita sebutkan sebelumnya, diantaranya: persamaan kuadrat, eksponen, bilangan rasional dan irasional.
Cek di sini untuk kursus matematika untuk anak
Membuat Persamaan Baru untuk Memecahkan Soal
Penting bagi setiap siswa untuk memahami pengertian persamaan sebelum memulai penyelesaian soal. Persamaan adalah kesamaan antara dua ekspresi yang memuat variabel dan konstanta, dan pemahaman konsep ini menjadi fondasi dalam semua jenis penyelesaian persamaan, mulai dari persamaan linier, kuadrat, hingga sistem persamaan.
Terkadang, Anda mungkin diminta untuk membuat persamaan baru untuk soal tertentu. Jangan khawatir, ini tidak seburuk kedengarannya, pada dasarnya Anda hanya membuat persamaan dari cerita!
Metodenya sederhana, dan Anda hanya perlu memastikan Anda teliti agar mendapatkan jawaban yang benar:
- Bacalah soal berulang kali untuk memastikan Anda memahami yang dimaksudkan dalam soal
- Tentukan nilai tidak diketahui (atau yang ditanyakan) yang sesuai dengan yang diminta oleh pertanyaan
- Coba dan tulis ulang soal dalam istilah matematika, hapus informasi yang tidak berguna
- Pecahkan persamaan yang baru saja Anda temukan
- Periksa kembali jawaban Anda
- Nyatakan persamaan Anda sebagai penyelesaian dari soal
Terkadang Anda akan menemukan pertanyaan semacam itu dalam konteks materi geometri, jangan khawatir! langkah-langkah yang digunakan sama, cukup pastikan untuk membaca ulang dan memahami pelajaran geometri Anda sebelumnya!
Berikut adalah contoh pertanyaan di mana Anda harus membentuk persamaan dari cerita yang diberikan:
“Tiga saudara sepupu, John, Tim dan Sally, memiliki jumlah usia adalah 60 tahun. Berapa usia masing-masing jika Sally tiga kali lebih tua dari Tim, dan John 10 tahun lebih muda dari Sally?”
Dalam soal ini, yang tidak diketahui dan sedang dicari adalah usia dari tiga saudara sepupu tersebut, dan ini dapat diselesaikan dengan bantuan beberapa persamaan. Lihat apakah Anda bisa menyelesaikannya!
Ada beberapa pilihan yang tersedia untuk Anda jika Anda ingin meningkatkan atau menyempurnakan keterampilan matematika Anda: baik untuk mengasah pengetahuan persamaan matematika Anda atau mempelajari sesuatu yang baru tentang geometri! Jika Anda ingin belajar lebih fleksibel, Anda juga bisa mencoba kursus matematika online.
Banyak siswa sering bertanya “apa persamaan?” dan mengapa konsep ini begitu penting dalam matematika. Persamaan merupakan dasar dari hampir seluruh cabang matematika, mulai dari aljabar, geometri, kalkulus, hingga statistika. Dengan memahami apa persamaan, seseorang dapat mengidentifikasi hubungan antara dua nilai yang setara dan menerapkan berbagai metode penyelesaian untuk menemukan nilai yang belum diketahui. Pemahaman mengenai persamaan juga membantu membangun logika berpikir yang lebih terstruktur, sehingga sangat penting dalam proses belajar matematika pada semua jenjang.
Semua contoh yang kita lihat hari ini berhubungan dengan bilangan rasional dan tidak menampilkan pertidaksamaan. Namun, pertidaksamaan diselesaikan dengan cara yang sama, cukup dengan mengganti tanda sama dengan dengan tanda persamaan pilihan Anda.
Mengapa persamaan dan pertidaksamaan penting? Keduanya berfungsi sebagai pondasi pengetahuan matematika Anda dan sangat penting sat mulai mempelajari kalkulus dan bahkan mungkin matriks!
Mengetahui bahwa Anda dapat menyelesaikan soal yang melibatkan bilangan bulat, desimal, bilangan rasional, dan jenis persamaan yang berbeda dengan efektif, baik itu persamaan eksponensial, persamaan kuadrat, atau sistem persamaan linier maka sangat berharga untuk pendidikan matematika Anda ke depannya!
Kursus privat dengan tutor matematika di rumah, memungkinkan Anda untuk berkembang pesat. Mereka dapat menjelaskan topik yang rumit seperti persamaan dengan kecepatan belajar Anda sendiri, serta menggunakan metode yang disesuaikan dengan gaya belajar Anda. Jika Anda berada di area Depok dan sekitarnya, Anda bisa mencari les privat matematika di cinere.
Mengevaluasi secara teratur dan menghasilkan materi tambahan menggunakan Youtube untuk belajar matematika online, ditambah mengikuti kursus matematika privat akan membantu Anda mencapai yang terbaik dalam matematika!
Pelajari cara membuat grafik fungsi atau menemukan daftar persamaan matematika yang belum terpecahkan.
Ringkaskan dengan AI










Cerdas
Terima kasih :)
Terima kasih atas apresiasinya :)