Dengan tipe soal matematika ini, Anda akan mendapatkan bentuk persamaan polinomial, eksponensial, logaritma, atau trigonometri.
Mempelajari suatu fungsi berarti bagaimana mempelajari perubahan dan batasannya, yakni menemukan nilai ekstrem dan titik asimtot (jika ada!), dan akhirnya Anda dapat membuat grafik persamaan.
Jadi dengan mengingat konsep di atas dan semua keterampilan yang dapat Anda praktikkan, soal terkait fungsi adalah pertanyaan yang muncul hampir setiap tahun dalam ujian. Seperti yang dapat Anda bayangkan, menguasai keterampilan penyelesaian materi fungsi juga akan membantu Anda dengan baik saat mempelajari materi matematika lainnya.
Ambil contoh fungsi berikut ini:

Turunan Fungsi
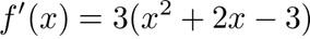
Fungsi f (x) adalah fungsi polinom yang dibentuk dari 3 suku. Berikut kursus kilat tentang diferensiasi untuk Anda ...

Dengan mengingat bentuk umum di atas, berikut hasil persamaan yang telah diturunkan:

Memfaktorkan Hasil Turunan
Tujuan dari langkah ini adalah menyederhanakan hasil turunan yang kita dapatkan, tetapi tidak semua kasus dapat difaktorkan. Jangan lupa untuk memfaktorkan bagian yang bisa difaktorkan, karena tahapan ini berperan besar untuk penyelesaian selanjutnya.
Anda mungkin sudah familiar dengan pemfaktoran dari artikel kami sebelumnya tentang bagaimana menyelesaikan persamaan matematika!
Jika Anda melihat turunan di atas, Anda akan melihat bahwa setiap suku memiliki faktor tiga di dalamnya. Dengan pemikiran ini, mari sederhanakan ekspresi kita:

Jika Anda melihat apa yang ada di dalam tanda kurung di sisi kanan, Anda mungkin memperhatikan bentuk persamaan kuadrat yang sudah bisa dikenali! Jika Anda seorang yang tajam saat membaca posting blog kami, Anda akan ingat apa yang tertulis dalam artikel sebelumnya tentang bagaimana memecahkan persamaan kuadrat.
Inilah trik praktis. Gantikan nilai Anda untuk persamaan kuadrat ke dalam diskriminannya. Jika nilai yang Anda hitung lebih besar dari 0, maka persamaan tersebut memiliki dua penyelesaian berbeda. Jika sama dengan 0 maka ada tepat memiliki satu penyelesaian:

Seperti yang Anda lihat, dalam kasus kami berikut dimana nilai diskriminan sama dengan 16 yang lebih besar dari 0, jadi terdapat dua penyelesaian. Jangan ragu untuk mencoba dan mencari dua faktor yang perlu Anda gabungkan (x + a) (x-b) untuk menghasilkan persamaan di atas, tetapi kami memiliki bantuan di bawah ini untuk membuatnya sedikit lebih mudah:

Jadi, penyelesaian untuk pemfaktoran kami adalah (x + 3) (x-1), dan 3 yang di luar adalah pemfaktoran yang di awal.
Mempelajari Grafik Derivatif
Kita dapat mengetahui beberapa titik yang diperlukan dalam grafik sebelum menggambarnya, hanya dengan menganalisis persamaan itu sendiri.

Salah satu bilangan dalam kurung adalah (x + 3). Dari sini, kita tahu bahwa jika nilai y sama dengan 0, maka grafik kita akan memotong sumbu x pada -3. Jika x lebih besar dari -3, perpotongan dengan sumbu y bernilai negatif. Jika x kurang dari -3, perpotongan dengan sumbu y bernilai positif.
Sedangkan, bilangan dalam kurung lainnya adalah (x-1). Maka yang berlaku sebaliknya: jika x lebih besar dari 1, maka perpotongan dengan sumbu y bernilai positif. Jika x kurang dari 1, maka perpotongan dengan sumbu y bernilai negatif.
Kembali ke persamaan awal kita sejenak, ada teorema yang menyatakan sebagai berikut ...
Titik minimum atau maksimum lokal suatu fungsi didapatkan jika turunan pertama dari fungsi sama dengan 0.
Kita baru saja mengidentifikasi bahwa turunan kita sama dengan 0 pada x = -3 dan x = 1. Untuk mencari = titik maksimum atau minimum pada fungsi tersebut, masukkan nilai-nilai ini ke dalam fungsi awal untuk mencari koordinat y ekuivalennya .
Itu memberi Anda titik potong: (-3, 33) dan (1, 1).
Jadi sekarang pertanyaannya adalah: titik manakah yang merupakan titik maksimum, dan mana yang merupakan titik minimum? Salah satu caranya adalah dengan membuat sketsa grafik dan langsung terlihat jelas, Anda dapat menggunakan cara lain dengan melihat oordinat itu sendiri: 33 jelas lebih besar dari 1, jadi ini jelas akan menjadi titik maksimum.
Cek di sini jika mencari guru privat matematika
Menggambar Grafik
Bagus! Jadi sekarang kita telah melewati tahapan dengan menggunakan turunan untuk menghitung titik maksimum dan minimum fungsi kami.
Langkah terakhir adalah membuat sketsa grafik. Untuk melakukannya, pertama-tama tandai titik maksimum dan minimum Anda pada grafik. Seperti yang telah kita ketahui, garis setidaknya terdiri atas dua titik, meskipun kita tidak dapat dengan pasti memperkirakan bentuknya.
Anda mungkin sudah mengetahui bentuk umum untuk persamaan trinomial, tetapi bagaimanapun juga, metode teraman adalah dengan memilih beberapa titik lain sebelum, di antara, dan setelah titik minimum dan maksimum, dan selanjutnya Anda dapat menghubungkan titik-titik tersebut.
Kami memilih nilai-nilai berikut:
- x -> f (x)
- -5 -> 1
- -2 -> 28
- -1 -> 17
- 0 -> 6
- 5 -> 161
Sekarang kami memiliki beberapa titik untuk dihubungkan dengan titik maksimum dan minimum, maka kami dapat membuat sketsa grafik seperti berikut:

Kesimpulan
Rangkuman kami berikut adalah bantuan untuk pemahaman matematika dasar terkait mempelajari fungsi dan menggambar grafik. Ada beberapa "topik" yang tidak kami bahas di sini, karena kemungkinan tidak sering muncul dalam soal ujian. Salah satu contohnya adalah jika ada fungsi kontinu.
Jika Anda kesulitan memahami isi artikel dari kami, jangan khawatir! Ini adalah topik yang dibahas di tingkat sekolah menengah atas untuk ujian kelulusan bahkan ujian masuk perguruan, bukan materi yang dibahas pada tingkatan sekolah menengah pertama. Walaupun tidak ada salahnya untuk memiliki pengetahuan tambahan! Nyatanya ada banyak persamaan matematika yang belum terpecahkan.
Anda juga bisa mempertimbangkan untuk mencari tutor privat guna memperkuat pengetahuan Anda tentang permasalahan matematika. Anda dapat menemukannya sekarang juga hanya di SuperProf!
Ringkaskan dengan AI









