Matematika selalu ada di sekitar kita, dimanapun itu.
Itu karena cakupan Matematika sangatlah luas, meliputi penjumlahan dan pengurangan, pembagian, pecahan, grafik, pembulatan, penyelesaian persamaan, aljabar, pertidaksamaan, variabel, statistik, substitusi, trigonometri, komputasi, sifat distributif, simetri, bilangan bulat, bilangan prima, probabilitas, nilai, vektor, bentuk, urutan, proporsi, dan lainnya!
Baik perihal pembangunan rumah Anda, tata letak jalan di lingkungan sekitar Anda, aktivitas sederhana menyalakan mobil Anda atau menyalakan mesin pencuci piring Anda, saat Anda membuat DIY atau bermain piano, matematika kompleks pun dasar benar-benar ada di mana-mana.
Tidak ada objek yang entah bagaimanapun tidak dihasilkan dari penerapan matematika, yang akan Anda pelajari selama pelajaran matematika sekolah maupun setelahnya dalam pendidikan lanjutan.
Persamaan kompleks dengan banyak hal yang tbelum terpecahkan, teorema matematika radikal yang berasal dari zaman kuno, hingga penemuan akhir abad ke-20, semuanya telah membentuk dunia kita saat ini.
Dan dengan setiap konsep baru, pemahaman kita akan dunia fisik di sekitar kita mulai berkembang.
Pada tahun 2013, matematikawan dan ilmuwan Inggris yang terkenal, Ian Stewart menerbitkan sebuah buku berjudul " The 17 Equations That Changed the World " (Ed. Robert Laffont).
Berapakah umur dari Rumus Matematika?
Karena matematika adalah aplikasi materi yang luas dari sekadar suatu penemuan, kami tidak dapat menghargai hanya satu orang untuk penemuan matematika itu sendiri (kecuali Anda ingin lebih mendalam dan mengatakan bahwa pencipta alam semestalah yang bertanggung jawab atas kelahiran matematika!). Namun, kita bisa melihat ulang kapan tepatnya matematika mulai berperan dalam kehidupan manusia.
Tidak perlu heran, bukti telah menunjukkan bahkan mereka yang hidup di zaman prasejarah pun memiliki pemahaman tentang konsep matematika yang catatannya ditemukan pada banyak benda, seperti tulang dan ukiran dinding.
Tanda-tanda itu menunjukkan bahwa mereka menggunakan pemikiran rasional saat mempelajari cara memecahkan masalah matematika sederhana seperti menjumlahkan benda. Jadi, apa yang akhirnya mendorong mereka untuk lebih tertarik pada matematika? Misalnya, bagaimana waktu terus berlalu yang membuat mereka penasaran. Mencari tahu berapa lama waktu yang tersisa untuk mereka berburu makanan sebelum matahari terbenam, mungkin mereka akan melihat langit untuk memperkirakannya.
The Star Garden menyatakan bahwa:
"Tulang Ishango berusia sekitar 20.000 tahun dan memiliki serangkaian takik yang diukir di dalamnya dalam tiga kolom. Pola dalam bilangan ini menunjukkan bahwa kemungkinan mereka dibuat oleh seseorang yang telah memahami penjumlahan, pengurangan, perkalian, pembagian, dan bilangan prima."
Mereka melanjutkan dengan mengatakan bahwa:
"Orang-orang memahami geometri dan aljabar sejak sekitar 2000 SM [...] Sekitar masa ini, baik Babilonia dan Mesir Kuno mengetahui angka π (pi) rasio keliling lingkaran dengan diameternya. Sekitar 1500 SM, Orang Babilonia juga mengetahui teorema Pythagoras, yang menunjukkan bagaimana hubungan panjang sisi-sisi dalam segitiga siku-siku. "
Teorema ini diberi nama oleh matematikawan Yunani kuno Pythagoras (meskipun beberapa mengatakan konsep itu mendahului dia) yang menunjukkan bahwa, meskipun semua teorema dan rumus matematika hanya ada dan sedang menunggu untuk ditemukan, setidaknya kita dapat memuji beberapa individu diantaranya karena menemukannya atau mengerjakannya.
Dalam sejarah singkat Matematika mereka, situs web The Star Garden menambahkan bahwa: "Kepler juga terinspirasi oleh Pythagoras, dan percaya bahwa gerakan planet menghasilkan sebuah pola. Ia menggunakan matematika untuk menunjukkan bahwa planet mengorbit Matahari dalam elips, kemudian pada tahun 1619 , ia berhasil menentukan waktu yang dibutuhkan setiap planet untuk mengorbit dan bagaimana jarak relatifnya dari Matahari.
Pada tahun 1687, Newton melahirkan hukum gravitasi universal. Ini merupakan sebuah terobosan baru karena menunjukkan bagaimana tidak hanya prinsip matematika abstrak, seperti kalkulus yang baru ditemukan, yang dapat diterapkan pada apa yang kita amati di alam, tetapi hukum pergerakan planet juga bertanggung jawab atas pergerakan objek di dunia ini. Newton juga percaya bahwa alam semesta adalah bagian dari objek matematika dan menggambarkan Tuhan sebagai "ahli dalam mekanika dan geometri".
Newton kontemporer, Leibniz, menemukan hubungan lain antara matematika dan alam ketika ia pertama kali mempertimbangkan gagasan fraktal. [...] Ahli matematika abad ke-20, seperti matematikawan Prancis Gaston Julia dan matematikawan Polandia-Prancis-Amerika Benoit Mandelbrot, terinspirasi oleh Leibniz untuk membuat sendiri fraktal yang lebih rumit.
Pada saat ini, mekanika kuantum dan teori relativitas khusus dan umum dari fisikawan Jerman-Swiss-Amerika telah menunjukkan bahwa alam mematuhi hukum matematika, bahkan meskipun ini bertentangan dengan akal sehat kita tentang dunia. "
Jadi, seperti yang bisa kita lihat, Matematika selalu ada sepanjang sejarah manusia, dan sejumlah terobosan luar biasa muncul berkat ahli matematika hebat yang berhasil menemukannya. Kami akan melihat beberapa persamaan matematika paling terkenal di bawah ini.
Sebagai catatan terakhir tentang sejarah matematika, penting untuk dicatat bahwa meskipun manusia tidak berkembang secara langsung dengan penerapan konsep matematika, matematika selalu memiliki perannya dalam planet ini. Bahkan sebelum keberadaan manusia, matematika telah mendikte semua alam, ditambah kenyataan bahwa sumber energi dan hewan yang menghiasi Bumi berkat kebutuhannya bereproduksi dan kehidupan secara umum.
10 Persamaan Matematika Terkenal
Jika Anda bertanya-tanya mengapa matematika begitu penting, dan dampak yang dihasilkan dari setiap persamaan utama, maka bacalah terus agar menemukan 10 rumus revolusioner untuk membawa konsep matematika Anda ke level yang lain. Tentunya, ada sejumlah rumus dan ekspresi matematika yang tidak ada habisnya (beberapa orang mungkin mengatakan daftarnya tidak terbatas!), Tetapi di sini kita fokus pada beberapa persamaan aljabar yang lebih dikenal dan membagikan beberapa notasi yang bermanfaat.
Jangan lupa, Superprof dapat membantu Anda menemukan guru matematika yang sempurna jika Anda terinspirasi untuk mendapatkan bantuan matematika menggunakan guru matematika atau bantuan matematika online!
Cek di sini untuk les olimpiade matematika Jakarta
Teorema Pythagoras
Ini pasti salah satu teorema yang paling terkenal. Bahkan setelah bertahun-tahun masa akhir kelas matematika Anda, namanya muncul dengan mudah berkeliaran di benak Anda.

Anda mungkin sudah mengetahuinya, tetapi mari kita ringkas dengan singkat: Dalam segitiga siku-siku, kuadrat hipotenusa sama dengan jumlah akar kuadrat dari panjang kedua sisi lainnya.
Teorema yang berasal sejak 530 SM ini merupakan salah satu dasar matematika yang digunakan hingga hari ini dan telah banyak berkontribusi pada sejarah matematika sejak ditemukannya.
Persamaan ini begitu penting untuk memahami geometri dan trigonometri dan memang telah membentuk pemahaman kita tentang cabang-cabang matematika tersebut.
Dapat dikatakan bahwa kita telah berpindah dari geometri Euclidean ke geometri non-Euclidean.

Sejak saat itu, berkat Pythagoras dan persamaannya yang terkenal, memudahkan kita untuk menghitung panjang, sudut, dan menunjukkan bahwa segitiga yang diberikan memiliki sudut siku-siku.
Konsep Pythagoras ini banyak dijumpai dalam ranah konstruksi dan arsitektur.
Cek di sini untuk les matematika yang bagus
Logaritma
Logaritma, yang dipopulerkan oleh John Napier pada tahun 1610, menggabungkan fungsi invers dan eksponensial, serta kebalikannya.
Logaritma secara umum digunakan dalam rumus yang digunakan dalam sains, untuk mengukur kompleksitas algoritma dan fraktal, dan muncul dalam berbagai rumus untuk menghitung bilangan prima.

Hingga perkembangan komputer modern, menghitung dengan logaritma adalah cara yang paling umum untuk mengalikan bilangan besar secara bersama-sama, dan memungkinkan penghitungan yang lebih cepat, tetapi di atas semua itu membantu membuat lompatan dan batasan dalam bidang matematika, fisika, teknik, dan astronomi.
Ada 3 jenis logaritma:
- Logaritma natural adalah dasar fundamental dalam analisis matematika
- Logaritma desimal digunakan dalam perhitungan matematika
- Logaritma biner digunakan dalam teori komputasi dan untuk perhitungan terapan
Logaritma suatu bilangan adalah eksponen yang harus dipangkatkan oleh bilangan tetap lainnya, yakni basis untuk menghasilkan bilangan itu.
Misalnya, dalam kasus basis 10, logaritma (log) adalah: Log (1) = 0, log (10) = 1, log (100) =2 .
Perhitungan seperti itu berguna dalam poker ataupun pemecahan teka-teki lainnya.
Hukum gravitasi
Adakah yang belum pernah mendengar tentang hukum gravitasi Isaac Newton yang terkenal? Anda tahu cerita tentang apel yang jatuh di kepala pemikir hebat saat dia merenungkan bulan di langit malam pada sekitar tahun 1687.

Dengan menggambarkan hubungan antara dua benda ini (bulan dan apel), Newton kemudian bertanya-tanya: Mengapa bulan tidak jatuh dari langit?
Jawabannya begitu jelas untuk sekarang: Bulan "ditahan" oleh gaya gravitasi.

Lahirlah hukum gravitasi Newton yang terkenal saat ini: "Benda-benda angkasa saling tarik-menarik satu sama lain oleh gaya yang berbanding lurus dengan produk massa mereka dan berbanding terbalik dengan kuadrat jarak antara pusat-pusatnya.
200 tahun setelah Newton, Einstein akhirnya menggantikan teori gravitasi ini dengan teori relativitasnya.
Cek di sini untuk les matematika Surabaya
Teori relativitas
Apakah Anda termasuk seseorang yang ahli dalam matematika atau fisika, atau bahkan tidak tahu apa-apa tentang matematika, nyatanya semua orang tahu rumus terkenal dari Albert Einstein: E = mc².

Rumus yang menggambarkan teori relativitas (relativitas terbatas dan relativitas umum) ini merevolusi pemahaman kita tentang fisika hingga berada titik itu.
Bagaimanapun itu tetaplah penting sampai hari ini, karena teori ini menunjukkan bahwa materi dapat diubah menjadi energi dan sebaliknya.
Relativitas terbatas memperkenalkan suatu gagasan bahwa kecepatan cahaya adalah konstanta universal yang tidak berubah dan menjelaskan bagaimana perjalanan waktu tidak sama untuk benda yang bergerak dengan kecepatan berbeda.
Relativitas umum Einstein menggambarkan gravitasi di mana ruang dan waktu melengkung: Perubahan besar dalam pemahaman kita saat mengikuti hukum gravitasi Newton.
Bahkan hingga hari ini, teori relativitas Einstein tetaplah penting untuk pengetahuan kita tentang asal mula, struktur, dan takdir Alam Semesta ini.
Matematika membantu kita lebih memahami dunia di sekitar kita dan kekuatan yang ada di mana-mana dalam kehidupan kita sehari-hari.
Teori Kekacauan
Teori kekacauan telah menunjukkan kepada kita bahwa tidak mungkin untuk memprediksi dengan pasti apa yang akan terjadi di masa depan. Ini adalah penelitian tentang sistem dinamis. Topik yang bagus untuk belajar matematika.
Teori ini membuktikan bahwa tidak ada proses yang benar-benar ada yang dapat diprediksi dengan pasti. Teori Robert May lebih baru, berasal dari tahun 1975. Teori ini menggambarkan proses yang terus berkembang dari waktu ke waktu.
Dalam formulanya, May ingin menjelaskan bahwa perilaku ketidakpastian (seperti iklim, yang mengalami banyak perubahan cuaca dari waktu ke waktu) dapat menyebabkan perubahan pada sistem lain yang benar-benar berbeda dalam beberapa hari kemudian.
Ilustrasi yang paling terkenal adalah apa yang disebut "efek kupu-kupu" yang menunjukkan bahwa kepakan sayap kupu-kupu di Brazil dapat menyebabkan badai atau tornado di Asia.
Dengan kata lain, hal yang paling tidak penting pada kenyataannya dapat memiliki efek yang tidak terduga pada lingkungan kita, dekat pun jauh.

Turbulensi di ujung pusaran dari sayap pesawat. Sumber : National Aeronautics and Space AdministrationBanyaknya faktor yang saling berkaitan dengan suatu peristiwa yang membuatnya tidak dapat dengan pasti diprediksi.
Cek di sini jika sedang mencari guru matematika SMP dan guru matematika SD
Identitas Euler
Identitas Euler dianggap sebagai "persamaan terbaik" di kelas matematika karena menggambarkan kombinasi yang tidak mungkin dari lima konstanta matematika.

Persamaan Euler (dilahirkan oleh Leonhard Euler pada tahun 1755) digunakan untuk fluida sempurna.
Mengapa persamaan ini penting? Karena identitas Euler ini menggunakan tiga operasi dasar dalam aritmatika: penjumlahan, perkalian dan eksponensial.
Lima konstanta yang direpresentasikan adalah "0" identitas penjumlahan; "1", identitas perkalian; pi yang menakjubkan; "e" yang merupakan dasar dari logaritma natural dan angka yang banyak muncul dalam analisis matematika; serta "i" yakni unit imajiner dari bilangan kompleks yang ditemukan dalam persamaan dengan 3 yang tidak diketahui.
Persamaan ini yang menghiasi Palais de la Découverte di Paris, membuka jalan bagi perkembangan topologi, suatu cabang matematika modern.
Transformasi Fourier
Transformasi Fourier membagi waktu menjadi beberapa frekuensi dan gelombang sederhana, seperti prisma membagi cahaya dalam warna-warna penyusunnya.

Transformasi Fourier memungkinkan kita menangani bentuk fungsi non-periodik.
Contoh lainnya berupa medan magnet atau akustik yang didefinisikan sebagai sinyal. Transformasi Fourier adalah spektrumnya yang mendekonstruksi bidang seperti itu.

Teori ini sangat mengguncang bumi karena secara tiba-tiba memahami bagaimana struktur gelombang yang lebih kompleks, seperti ucapan manusia.
Kini teori yang berasal dari tahun 1822 ini masuk ke jantung pemrosesan dan analisis sinyal modern, serta pemrosesan data.
Cek di sini untuk les matematika di Medan
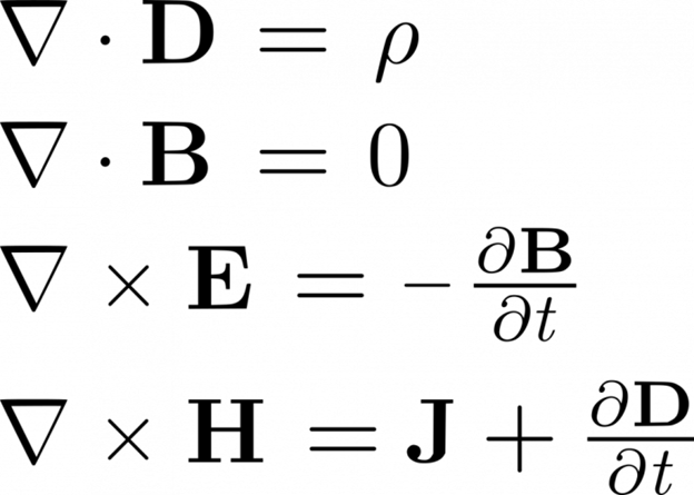
Persamaan Maxwell
Persamaan Maxwell menjelaskan bagaimana muatan listrik saling berinteraksi, serta menjelaskan arus listrik dan juga medan magnet.
Persamaan Maxwell juga disebut persamaan Maxwell-Lorentz, yakni hukum fisika fundamental.
Persamaan itu mendukung pemahaman kita tentang hubungan antara listrik dan magnet, serta merupakan salah satu hukum dasar fisika modern yang esensial.

Ada 4 bentuk persamaan Maxwell:
- Persamaan Maxwell-Gauss
- Persamaan Maxwell-Thomson
- Persamaan Maxwell-Faraday
- Persamaan Maxwell-Ampere
Hukum Termodinamika 2
Hukum termodinamika 2 (juga dikenal sebagai prinsip Carnot setelah penemunya pada tahun 1824) membuktikan secara tak terbantahkan bahwa fenomena fisik tidak dapat dibalikkan terutama bila terjadi perubahan termal.
Prinsip termodinamika adalah hukum utama yang mengatur termodinamika.
Prinsip ini telah dimodifikasi dan dirumuskan ulang dalam beberapa kesempatan, dan telah memperoleh popularitas yang meluas sekitar tahun 1873 berkat Ludwig Boltzmann dan Max Planck.

Sedangkan hukum pertama dinamika termal menetapkan bahwa energi dapat dibalikkan antara sistem fisik sebagai panas dan kerja. Hukum kedua memperkenalkan besaran lain yang dikenal sebagai entropi.
Ini adalah bagaimana bentuk prinsip perubahan dan evolusi karena ia menentukan ke arah mana transformasi suatu energi potensial dimungkinkan terjadi.
Oleh karena itu, beberapa transformasi kimia mungkin saja terjadi sementara lainnya dipastikan tidak akan pernah terjadi. Misalnya; Anda dapat menyatakan dengan pasti jika Anda memasukkan es batu ke dalam secangkir kopi panas, es batu akan meleleh, sedangkan kopi tidak akan pernah membeku.
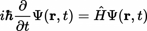
Persamaan Schrödinger
Persamaan Schrödinger, yang dibuat oleh fisikawan Austria Erwin Schrödinger pada tahun 1925, adalah persamaan fundamental untuk mekanika kuantum.

Karena teori relativitas umum Einstein membantu menjelaskan alam semesta dalam skala besar, persamaan ini menjelaskan bagaimana perilaku atom dan partikel subatom.
Persamaan Schrödinger menjelaskan perubahan partikel dari waktu ke waktu. Persamaan ini menggambarkan keadaan suatu partikel, yang dapat menggambarkan keadaan apa pun.
Persamaan ini menimbulkan pertanyaan filosofis konkret berikutnya: Apakah materi terdiri dari kemungkinan adanya kondisi fisik (padatan, cairan, gas)?

Penerapan persamaan Schrödinger dapat ditemukan dalam teknologi modern termasuk energi nuklir, komputer solid-state, dan laser.
Seperti yang bisa kita lihat dari penjabaran di atas, sepanjang sejarah manusia dan terutama sejak abad ke-18, persamaan matematika telah mengubah pemahaman kita tentang dunia sebagai tempat yang kita tinggali dan kemampuan kita untuk memecahkan berbagai masalah matematika. Matematika melayani kita di setiap harinya dalam pelajaran matematika atau dalam cara yang tidak langsung.
Rumus dan persamaan yang mungkin Anda pelajari dalam pelajaran aljabar adalah rumus kuadrat, persamaan simultan, persamaan diferensial, teorema multi langkah, dua langkah, dan persamaan satu langkah, persamaan polinomial, persamaan linier, fungsi eksponensial, serta sistem persamaan.
Hadiah Dan Penghargaan Atas Matematika
Ada sejumlah penghargaan yang diberikan kepada orang-orang jenius yang berprestasi di berbagai bidang matematika, biasanya diantaranya telah menawarkan solusi untuk pemecahan masalah matematika. Ini adalah penghargaan bergengsi dengan nilai dan bobot mutlak, beberapa di antaranya bahkan dianggap setara dengan memenangkan Penghargaan Nobel. Dengan demikian, hanya sedikit orang terpilih yang menerima penghargaan semacam ini yang berarti menyoroti bagaimana keunggulan mereka dalam bidang ini.
Di bawah ini adalah beberapa penghargaan tersebut.
Fields Medal
Fields Medal adalah salah satu hadiah paling terkenal yang diberikan kepada ahli matematika yang telah mencapai sesuatu hal luar biasa selama karir mereka bekerja dengan angka, persamaan atau selebihnya, seperti menemukan teori atau konsep yang signifikan.
Secara resmi, pemenang penghargaan ini dianugerahi Medali Internasional untuk Penemuan Luar Biasa dalam Matematika (Anda dapat melihat mengapa ini lebih sering disebut sebagai Fields Medal) dan hanya diberikan sekali setiap empat tahun kepada maksimal empat ahli matematika di bawah 40 tahun. Ini menandakan sebagian besar pemenang penghargaan bergengsi ini dapat digolongkan sebagai matematikawan muda yang sedang naik daun dan memiliki banyak harapan untuk masa depan.
Abel Prize
Nominasi lain yang memiliki reputasi cukup baik, Abel Prize yang diberikan oleh Raja Norwegia kepada seorang ahli matematika yang luar biasa dalam bidang studi matematika mereka.
Disebut Abel Prize karena Niels Henrik Abel, yang menjadi seorang ahli matematika Norwegia yang populer pada tahun 2001, tahun pertama kali dibuat penghargaan tersebut.
Penghargaan Wolf dalam Matematika
The Wolf Foundation of Israel memberikan enam penghargaan berbeda setiap tahun, salah satunya adalah Penghargaan Wolf dalam Matematika.
Penghargaan ini sudah ada sejak tahun 1978 dan dipandang sebagai kehormatan besar bagi para nominatornya. Beberapa nama ternama yang pernah meraih penghargaan ini antara lain Andrew Wiles, John Milnor dan lainnya.
Chern Medal
Salah satu penghargaan baru dalam bidang matematika adalah Chern Meda, yang mengakui pencapaian seumur hidup untuk matematika sejak 2010.
Ini diberikan setiap empat tahun sekali sehingga sejauh ini hanya segelintir dari ahli matematika yang mendapatkan salah satu dari penghargaan bergengsi ini. Ini diberikan pada Kongres Internasional Ahli Matematika dan mendapatkan juga hadiah uang sebesar $ 250.000 atau setara dengan 3,5 Triliun rupiah (terbukti untuk membantu mendanai penelitian lebih lanjut atau untuk meningkatkan biaya kuliah di bidang matematika lainnya).
Penerima pertama pada tahun 2010 adalah Louis Nirenberg dan pemenang tahun 2014 adalah Phillip Griffiths.
Lantas mengapa tidak ada penghargaan Nobel untuk ahli matematika?
Menurut fakta matematika, beberapa orang akan mengatakan alasannya karena istri Alfred Nobel berselingkuh dengan seorang ahli matematika terkenal, namun kita sekarang tahu ini tidaklah benar karena Nobel bahkan tidak pernah menikah selama hidupnya. Sederhananya, karyanya yang melibatkan masalah ilmiah berarti bahwa dia memiliki subjek yang lebih dekat ke hatinya daripada ekspresi matematika.
Matematikawan Yang Berhasil Mengubah Dunia
Jika Anda sama dengan kami yang bertanya-tanya mengapa tidak ada matematikawan wanita dalam sejarah matematika, maka bagian ini cocok untuk Anda! Bicara tentang persamaan dan pertidaksamaan ...!
Padahal banyak wanita yang juga berperan dalam penemuan matematika layaknya rekan pria mereka, sayangnya kemampuan mereka memecahkan masalah masih jarang terekspos. Berikut adalah beberapa wanita yang telah membantu membentuk matematika dari waktu ke waktu.
Hypatia
Hypatia adalah putri dari matematikawan Yunani Theon dan menjadi kepala Sekolah Platonis di Alexandria, Mesir, tempat dia mengajar astronomi dan filsafat.
Wanita yang sangat intelektual ini dibunuh pada tahun 415 M, dicap sebagai pemuja setan oleh kelompok-kelompok agama, namun diyakini bahwa dia seorang yang jenius berpengaruh dan berkontribusi besar pada teks terbitan ayahnya yang terkenal selama masa dia.
Sophie Germain
Marie-Sophie Germain terobsesi oleh teori bilangan dan kalkulus, serta terinspirasi dari membaca Archimedes.
Terjadi sekitar abad ke-18, masa dimana beberapa institusi tidak mengizinkan wanita untuk belajar di bawah atap mereka sehingga Germain mengubah identitasnya menjadi siswa laki-laki sehingga dia dapat belajar di akademi matematika khusus laki-laki di Paris.
Sayangnya, meskipun beberapa orang menyadari karyanya yang brilian tentang Teorema Terakhir Fermat, hal itu tidak pernah diakui secara resmi dan dia meninggal hanya sebagai wanita lajang tanpa profesi yang jelas.
Pelajari lebih lanjut tentang Sophie Germain dengan tutor matematika online.
Caroline Herschel
Caroline Herschel adalah wanita pertama yang menerima medali emas Royal Astronomical Society pada tahun 1828, setelah dia menemukan tujuh komet baru yang terkenal.
Herschel menjadi asisten bayaran dari saudara astronomnya William dan pasangan itu kemudian menemukan planet Uranus pada tahun 1781 sebelum menemukan banyak penemuan signifikan hingga akhirnya berakhir saat kematiannya pada usia 97 tahun.
Ada Lovelace
Terlahir dari seorang ayah yang terkenal, penyair Lord Byron, tidak heran jika Lovelace dijuluki seorang Enchantress! Namun, tidak seperti ayahnya, dia jauh lebih berbakat ketika diminta untuk mengkoordinasikan sistem bilangan daripada masalah kata atau sastra apa pun.
Berdasarkan profesinya, Lovelace adalah perintis komputer zaman Victoria yang bekerja sama dengan Charles Babbage dalam komputer terprogram pertama di pertengahan abad ke-19. Bahkan sekarang, orang dapat melihat bagaimana idenya itu jauh di depan pada masanya dahulu, yang kemungkinan itu mengapa dia tidak dikenali atas penemuannya di bidang matematika hingga akhirnya tahun 1950-an atau sekitar lebih dari 100 tahun setelah dia melakukan pekerjaan itu, ia dikenal.
Sofia Kovalevskaya
Terkahir tapi tidak kalah hebatnya, Kovalevskaya, yang lahir di Moskow pada tahun 1850, memberikan kontribusi yang sangat penting untuk analisis matematika di Jerman.
Dengan kemampuannya yang mendapat perhatian oleh pamannya, akhirnya dia dimasukkan ke les privat, namun sayangnya ia dipaksa menikah.
Dia akhirnya mengalahkan kesenjangan atau ketimpangan antara pria dan wanita dan menjadi wanita pertama yang mendapatkan jabatan profesor di Eropa utara.
Matematikawan Wanita Berpengaruh Lainnya
Berikut adalah beberapa wanita lain yang secara historis terlibat dalam bidang matematika dan alasannya.
| Nama | Identitas Matematika |
|---|---|
| Emmy Noether | Inovator dalam aljabar tingkat tinggi |
| Florence Nightingale | Penemu cara memplotkan data untuk menampilkannya secara statistik |
| Joan Clarke | Pemecah kode terkenal |
| Dame Jocelyn Bell Burnell | Pelopor Astronomi |
| Radia Perlman | Pemimpin di bidang ilmu komputer |
Membawa Matematika ke Masa Depan
Apa inovasi besar matematika berikutnya?
Inovasi matematika baru apakah yang akan memutar balikkan konsepsi kehidupan kita saat ini seperti yang kita ketahui sebelumnya? Bisakah Anda menjadi salah seorang ahli matematika terkenal untuk persamaan kuadrat, fungsi aljabar, terobosan trigonometri, atau bahkan untuk menemukan konsep baru seperti teorema Pythagoras?
Atau, mungkin Anda akan membawa sesuatu yang benar-benar baru ke dunia dengan menemukan bilangan bulat baru yang tidak pernah kami ketahui keberadaannya, mengembangkan kalkulator grafik intelektual atau dengan menyederhanakan matematika dengan perangkat penyelesaian persamaan atau sistem aplikasi persamaan.
Jika salah satu dari ini benar, Anda harus terlebih dahulu menguasai seputar ujian matematika dan topik yang lebih lanjut seperti aljabar di perguruan tinggi. Anda dapat meraih ini dengan menghargai setiap pelajaran matematika dan buku teks Anda, mendengarkan penjelasan guru Anda, mengerjakan lembar kerja sebaik mungkin dan menyelesaikan tugas rumah Anda pun jika Anda meminta bantuan dari situs web atau aplikasi bimbingan matematika yang gratis.
Temukan tutor untuk ujian SBMPTN atau tutor matematika lainnya dengan Superprof.
Ringkaskan dengan AI









