Polarisasi adalah bagian yang sangat penting dalam ilmu pengetahuan alam khususnya Fisika. Namun definisinya yang sangat luas membuat pengertian polarisasi bisa berbeda-beda untuk bidang lainnya.
Pada mata pelajaran Fisika, materi tentang polarisasi dibahas secara terperinci. Ini mencakup apa itu polarisasi dan bagaimana proses polarisasi cahaya, serta rumus polarisasi.
Secara sederhana, polarisasi cahaya dapat diartikan sebagai fenomena terserapnya sebagian arah getar cahaya. Cahaya yang sebagian arah getarnya terserap disebut cahaya terpolarisasi. Cahaya dapat mengalami polarisasi menunjukkan bahwa cahaya termasuk gelombang transversal. Pada cahaya tidak terpolarisasi, medan listrik bergetar ke segala arah, tegak lurus arah rambat gelombang. Setelah mengalami pemantulan atau diteruskan melalui bahan tertentu, medan listrik terbatasi pada satu arah.
Polarisasi dapat terjadi karena pemantulan pada cermin datar, absorpsi selektif dari bahan polaroid, dan bias kembar oleh kristal.
Mempelajari polarisasi cahaya bisa saja mudah jika Anda memahami konsep polarisasi dan dapat menggunakan rumus polarisasi cahaya. Namun bisa saja sulit, untuk itu jangan ragu untuk bergabung pada kursus privat Superprof agar mendapat pembelajaran tambahan sehingga mempermudah Anda belajar fisika. Kursus privat Superprof juga tersedia untuk berbagai topik lainnya.
Cek di sini untuk mengetahui apa itu fluida dinamis
Pengertian Polarisasi Cahaya

Polarisasi adalah pembatasan gelombang vektor yang membentuk suatu gelombang transversal sehingga menjadi satu arah.
Tidak seperti interferensi dan difraksi yang dapat terjadi pada gelombang transversal dan longitudinal, efek polarisasi hanya dialami oleh gelombang transversal. Sementara, kata cahaya memiliki makna yang luas. Mengapa? Karena cahaya tidak terbatas pada sinar yang membantu kita melihat benda di sekitar kita. Lebih dari itu, ternyata ada juga cahaya yang tak kasat mata. Pada ilmu Fisika, cahaya diartikan sebagai gelombang elektromagnetik yang bisa dilihat oleh mata. Contoh gelombang ini adalah cahaya putih yang bila dipecah menjadi frekuensi akan menghasilkan warna pelangi.
Polarisasi cahaya adalah salah satu sifat gelombang elektromagnetik selain pemantulan, pembiasan, interferensi, dan difraksi, dan polarisasi. Gelombang elektromagnetik ini dihasilkan berdasarkan muatan listrik yang dipercepat. Perubahan yang terus berlangsung mengakibatkan perubahan medan magnet dan listrik secara sinusoidal atau grafik sin.

Keterangan:
Gelombang berwarna merah : gelombang magnetik
Gelombang berwarna biru : gelombang listrik
Nah, cahaya seperti gambar yang disebut cahaya terpolarisasi. Mengapa? Karena memiliki satu gelombang magnetik dan satu gelombang listrik. Atau bisa dikatakan juga bahwa polarisasi cahaya adalah pembatasan gelombang elektromagnetik yang menjalar menjadi satu sumbu transmisi saja.
Selain terpolarisasi, ada juga cahaya yang tidak terpolarisasi. Contoh cahaya yang tidak terpolarisasi adalah cahaya matahari. Muatan yang bergerak pada cahaya matahari memiliki arah getar lebih dari satu. Hal ini menyebabkan cahaya matahari memiliki intensitas sangat besar.
Polarisasi dapat terjadi melalui berbagai mekanisme, seperti pantulan pada cermin datar, absorpsi selektif oleh bahan polaroid, dan bias kembar oleh kristal. Polarisasi adalah konsep yang penting dalam ilmu optik dan memiliki berbagai aplikasi dalam berbagai bidang, termasuk teknologi informasi, fotografi, mikroskopi, dan pemahaman fenomena alam
Cek di sini untuk cara mencari panjang gelombang
Jenis-jenis Polarisasi Cahaya
Ada beberapa jenis polarisasi cahaya yang bisa dibedakan berdasarkan karakteristiknya, yakni:
1. Polarisasi Linier
Polaritas linier adalah jenis polarisasi paling sederhana di mana medan listrik cahaya bergetar hanya dalam satu arah tertentu. Ini berarti bahwa arah getaran medan listrik adalah tetap sepanjang waktu saat cahaya bergerak.
Jika kita membayangkan cahaya sebagai gelombang bergerak ke depan, maka medan listriknya akan bergetar dalam satu arah, seperti vertikal atau horizontal.
Polarisasi linier dapat dihasilkan dengan menggunakan filter polaroid atau materi yang memungkinkan hanya medan listrik dalam satu arah tertentu untuk melewati, sementara menyerap medan listrik dalam arah lain.
2. Polarisasi Lingkaran Kanan
Polaritas lingkaran kanan adalah jenis polarisasi di mana medan listrik cahaya bergetar dalam pola spiral searah jarum jam.
Ini berarti bahwa medan listrik cahaya berputar dalam arah searah jarum jam ketika cahaya bergerak ke depan.
Fenomena ini sering ditemui dalam optik sirkular dan memiliki aplikasi dalam berbagai konteks, termasuk komunikasi optik dan mikroskopi.
3. Polarisasi Lingkaran Kiri
Sama seperti polarisasi lingkaran kanan, polarisasi lingkaran kiri melibatkan medan listrik cahaya yang bergetar dalam pola spiral, tetapi sebaliknya.
Medan listrik berputar dalam arah berlawanan dengan arah jarum jam ketika cahaya bergerak ke depan.
Ini adalah jenis polarisasi yang berlawanan dengan polarisasi lingkaran kanan dan juga memiliki berbagai aplikasi dalam optik.
4. Polarisasi Elips
Polarisasi cahaya elips adalah suatu fenomena di mana cahaya memiliki polarisasi yang merupakan gabungan dari polarisasi linier dan polarisasi melingkar.
Ini berarti medan listrik dari cahaya elips bergetar dalam pola yang membentuk bentuk elips, dan nilai serta arah medan listrik berubah-ubah sesuai dengan posisi tertentu dalam siklus gelombangnya
Polarisasi elips dapat terjadi pada gelombang yang memiliki polarisasi elips. Ini bisa terjadi saat cahaya mengalami berbagai jenis pemantulan, pembiasan, atau hamburan yang memengaruhi arah getaran medan listriknya.
Keempat jenis polarisasi ini merupakan aspek penting dari penelitian optik dan digunakan dalam berbagai aplikasi teknologi.
Cek di sini jika ingin mengetahui gelombang stasioner
Contoh Polarisasi Cahaya

Ada banyak contoh polarisasi cahaya dalam kehidupan sehari-hari dan dalam berbagai aplikasi ilmiah dan teknis. Berikut beberapa contoh:
1. Kacamata Hitam
Kacamata hitam menggunakan filter polaroid untuk0 menghilangkan cahaya yang bergetar dalam arah tertentu. Ini membantu mengurangi kilatan matahari dan meningkatkan kenyamanan saat berada di bawah sinar matahari yang terang.
2. Layar LCD
Layar cair kristal (LCD) pada perangkat elektronik seperti televisi, ponsel, dan laptop menggunakan sifat polaroid untuk mengatur cahaya yang melewati matriks kristal cair. Ini memungkinkan pengendalian yang presisi atas intensitas dan warna pada layar.
3. Kaca Mata 3D
Kacamata 3D yang digunakan dalam bioskop atau permainan video menggunakan polarisasi untuk memisahkan gambar yang ditampilkan pada layar untuk mata kiri dan mata kanan. Ini menciptakan efek tiga dimensi ketika mata masing-masing menerima gambar dengan polarisasi yang sesuai.
4. Mikroskop Polarized Light
Mikroskop cahaya polarisasi digunakan dalam bidang seperti geologi dan biologi untuk memeriksa sampel yang memancarkan atau mengubah polarisasi cahaya. Ini membantu dalam pengamatan detail pada tingkat mikroskopis.
Klik di sini untuk mempelajari tentang cepat rambat gelombang!
Contoh Soal Polarisasi Cahaya
Sudahkah Anda memahami materi polarisasi cahaya di atas? Untuk membantu Anda memperdalam konsep polarisasi dan penggunaan rumus polarisasi cahaya, perhatikan contoh soal berikut ini.
Contoh Soal
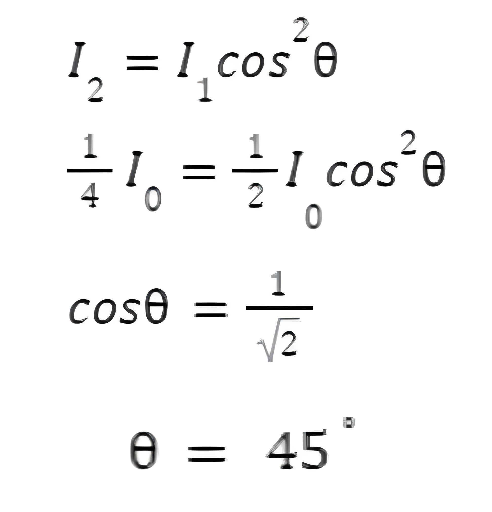
Dua keping polarisator disusun sejajar dengan sumbu transmisi yang sejajar pula. Cahaya alami (tak terpolarisasi) yang masuk ke susunan polarisator itu akan mengalami penurunan intensitas sebanyak 75% jika polarisator yang kedua diputar … derajat.
Jawaban :
Karena mengalami penurunan 75%, maka menjadi 25% atau ¼. Sehingga,
I2 = 1/4 I0
Nah, untuk menentukan derajat pemutaran polarisator yang kedua hingga mengalami penurunan intensitas menjadi 75%, menggunakan perhitungan:

Maka, jika polarisator yang kedua diputar 45 derajat, cahaya alami (tak terpolarisasi) yang masuk ke susunan polarisator itu akan mengalami penurunan intensitas sebanyak 75%.
Dapatkan contoh soal lainnya di internet, dan asah kemampuan Anda.
Ringkaskan dengan AI









