Fluida statis dan dinamis merupakan sebuah aspek penting dalam kehidupan. Fluida merupakan suatu zat yang dapat mengalir. Zat cair dan zat gas merupakan jenis fluida. Karena kedua zat tersebut mempunyai sifat yang dapat mengalir. Berbeda dengan batu dan berbagai benda keras lainnya, seluruh zat padat tak termasuk dalam fluida karena zat padat tidak bisa mengalir.
Zat cair dapat berupa seperti halnya susu, minyak minyak goreng, dan juga air. Seluruh zat cair tersebut termasuk ke dalam jenis fluida. Terlebih dengan sifatnya yang bisa mengalir dari satu tempat ke tempat yang lainnya.
Selain zat cair, terdapat zat gas yang juga termasuk fluida. Zat gas juga memiliki kemampuan untuk mengalir dari satu satu tempat ke tempat lainnya. Hembusan angin merupakan salah satu contoh udara yang dapat berpindah dari satu tempat ke tempat lainnya. Berdasarkan pergerakannya, fluida terbagi menjadi fluida statis dan juga fluida dinamis.
Salah satu contoh sederhana tentang konsep fluida dinamis ini adalah aktifitas menyiram tanaman. Untuk menjangkau tanaman yang jauh, biasanya Anda akan menyumbat sebagian mulut selang dengan jari, bukan? Saat sebagian mulut selang Anda sumbat, pasti kecepatan gerak airnya akan semakin besar. Di dalam Fisika, kondisi semacam inilah yang akan dipelajari dalam fluida dinamis.
Untuk lebih jelasnya apa itu fluida dinamis dan bagaimana rumus fluida dinamis, teruslah membaca!
Cek di sini untuk cara mencari panjang gelombang!
Pengertian Fluida Dinamis

Pada materi fluida dinamis kelas 11 ini, hal pertama yang harus dipahami adalah pengertian fluida dinamis.
Fluida dinamis adalah fluida (cair dan gas) yang alirannya bergerak secara ideal atau memiliki kecepatan konstan. Dengan kata lain, alirannya tidak mengalami perubahan terhadap waktu. Selain itu, alirannya juga tidak mengalami turbulen.
Fluida dinamis juga dapat diartikan sebagai fluida yang bergerak atau mengalir. Aliran fluida ini akan membentuk garis-garis arus. Contoh jenis fluida adalah zat cair dan gas. Lalu, bagaimana dengan zat padat? Zat padat tidak termasuk fluida karena tidak bisa mengalir seperti zat cair dan gas. Saat mendapatkan tekanan, zat padat juga tidak mudah terdeformasi.
Lalu, apa perbedaan fluida statis dan fluida dinamis? Fluida dinamis kondisinya bergerak, tapi alirannya konstan. Contoh fluida dinamis dalam kehidupan sehari-hari yaitu aliran air pada selang atau pipa. Sementara, fluida statis itu alirannya tidak bergerak, atau diam. Misalnya saat kita sedang minum menggunakan sedotan.
Cek di sini jika ingin mengetahui gelombang stasioner
Jenis-jenis fluida dinamis

Berdasarkan jenis alirannya fluida terbagi menjadi dua jenis, yaitu sebagai berikut.
- Aliran Laminer
Aliran laminer ialah aliran ideal dan terjadi pada aliran fluida pada kecepatan rendah. Aliran ini terjadi ketika paket fluida meluncur bersama dengan paket fluida di sebelahnya, tiap jalur paket fluida tidak berseberangan dengan jalur lainnya.
Pada aliran ini partikel fluida akan bergerak mengikuti lintasan yang mulus. Selain itu, lintasan ini tak saling bersilangan antara satu dengan yang lainnya. Aliran laminer dapat ditemukan pada air yang dialirkan melalui selang atau pipa.
- Aliran Turbulen
Aliran turbulen terjadi ketika paket fluida tidak meluncur bersamaan dengan paket fluida di sebelahnya, tiap jalur paket fluida bisa bersebrangan dengan jalur lainnya. Aliran turbulen ditandai adanya pusaran-pusaran air (turbulen) dan kecepatan alirannya tinggi. Aliran turbulen kerap kali ditemukan di selokan maupun sungai.
Periksa di sini jika ingin mempelajari polarisasi cahaya
Ciri-Ciri Fluida Dinamis

Fluida dinamis memiliki beberapa ciri khas yang membedakannya dengan fluida statis. Suatu fluida dikatakan dinamis jika memiliki ciri-ciri sebagai berikut:
- Tidak Kompresibel
Fluida dinamis memiliki sifat tidak kompresibel, yang berarti densitas fluida tetap konstan saat terjadi perubahan tekanan. Fluida seperti air dan gas, ketika diberikan tekanan, tidak akan mengalami perubahan volume yang signifikan. - Gerakan Fluida Bebas Gesekan
Gerakan fluida dinamis dianggap bebas gesekan. Dalam hal ini, fluida bergerak tanpa mengalami hambatan gesekan antar lapisan fluida atau dengan dinding saluran. Keadaan ini mengindikasikan bahwa fluida dinamis tidak dipengaruhi oleh kekentalan (viskositas). - Aliran Stasioner
Aliran fluida dinamis adalah aliran stasioner, yang berarti bahwa besar dan arah kecepatan partikel fluida tetap konstan di titik tertentu pada aliran tersebut. Kecepatan fluida pada setiap titik tidak berubah meskipun waktu terus berjalan. Aliran fluida ini mengikuti garis-garis arus yang teratur, yang tidak mengalami turbulensi. - Bersifat Tunak (Steady)
Fluida dinamis bersifat tunak, artinya kecepatannya di titik tertentu selalu tetap dan tidak dipengaruhi oleh waktu. Aliran fluida dinamis akan membentuk aliran laminer, di mana fluida mengalir dengan cara sejajar dan teratur, tanpa gangguan atau arus acak.
Rumus Fluida Dinamis

Aliran fluida dinamis dalam pipa dapat dijelaskan dengan menggunakan beberapa rumus dasar yang menunjukkan hubungan antara berbagai faktor, seperti debit fluida, kecepatan fluida, dan luas penampang pipa. Tiga konsep utama dalam fluida dinamis yang sering digunakan dalam rumus adalah debit fluida, asas kontinuitas, dan hukum Bernoulli.
Debit Fluida
Debit aliran adalah volume fluida yang mengalir melalui pipa per satuan waktu. Semakin besar volume fluida yang mengalir dalam satu detik, semakin besar debit fluida tersebut. Debit fluida dapat dirumuskan dengan:
dimana:
- Q adalah debit aliran (m³/s),
- V adalah volume fluida yang mengalir (m³),
- t adalah waktu yang dibutuhkan (s).
Pada pipa berbentuk silinder, rumus debit fluida dapat disesuaikan dengan luas penampang pipa dan kecepatan aliran fluida:
dimana:
- A adalah luas penampang pipa (m²),
- v adalah kecepatan fluida (m/s).
Asas Kontinuitas
Asas kontinuitas menyatakan bahwa debit fluida akan selalu tetap di setiap titik dalam pipa yang tidak dapat dimampatkan. Jika pipa menyempit, maka laju aliran fluida akan meningkat. Sebaliknya, jika pipa melebar, maka laju aliran fluida akan berkurang. Oleh sebab itu rumus persamaan kontinuitas dapat dinyatakan sebagai berikut:
dimana:
- A1 dan A2 adalah luas penampang pipa pada titik 1 dan 2 (m²),
- v1 dan v2 adalah kecepatan fluida pada titik 1 dan 2 (m/s).
Hukum Bernoulli Kontinuitas
Azas Bernoulli dalam fluida bergerak menyatakan hubungan antara tekanan, kecepatan, dan ketinggian dalam fluida yang mengalir. Hukum ini menyatakan bahwa jika tekanan dalam fluida meningkat, maka kecepatan aliran fluida akan menurun, dan jika tekanan berkurang, kecepatan aliran akan meningkat, selama tidak ada kerugian energi.
Rumus Hukum Bernoulli adalah:
dimana:
- P adalah tekanan fluida (Pa),
- ρ adalah massa jenis fluida (kg/m³),
- v adalah kecepatan fluida (m/s),
- g adalah percepatan gravitasi (m/s²),
- h adalah ketinggian fluida (m).
Penerapan Fluida Dinamis di Kehidupan Sehari-Hari

Fluida dinamis tidak hanya sebuah teori untuk dihafal di sekolah, tetapi juga memiliki banyak penerapan dalam kehidupan sehari-hari. Berikut adalah beberapa contoh penerapan fluida dinamis dalam kehidupan nyata:
Tabung Pitot
Tabung pitot adalah alat yang digunakan untuk mengukur kelajuan fluida gas, seperti udara. Tabung ini memiliki manometer berbentuk tabung U yang berisi cairan untuk mengukur perbedaan tekanan. Alat ini sering digunakan dalam penerbangan dan meteorologi untuk menghitung kecepatan udara. Rumus tabung pitot dapat ditulis:
v = √(2/ρ)(P0 – Ps )
- v = Kecepatan Fluida
- P0 = Tekanan Stagnasi
- Ps = Tekanan statis fluida pada elevasi yang diukur
- ρ = Kepadatan Fluida
- γ = Berat Jenis Fluida
Pipa Venturimeter
Pipa venturimeter digunakan untuk mengukur laju aliran fluida cair. Pipa ini memiliki bagian yang menyempit di tengah. Rumus venturimeter mengikuti prinsip asas kontinuitas, semakin sempit pipa, semakin cepat aliran fluida. Alat ini digunakan untuk menghitung kecepatan aliran fluida dengan menggunakan manometer.
Pesawat Terbang
Dalam penerbangan, prinsip fluida dinamis sangat penting. Aliran udara yang berbeda di atas dan di bawah sayap pesawat menciptakan perbedaan tekanan yang menghasilkan gaya angkat, memungkinkan pesawat terbang. Desain pesawat bergantung pada prinsip fluida dinamis untuk mencapai kecepatan dan stabilitas optimal selama penerbangan.
Klik di sini untuk belajar tentang cepat rambang gelombang!
Contoh Soal Dan Pembahasan Fluida Dinamis
Agar semakin paham tentang dinamika fluida, berikut adalah beberapa contoh soal fluida dinamis yang bisa membantu Anda memahami konsep-konsep ini.
Soal 1: Contoh Soal Persamaan Kontinuitas
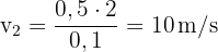
Sebuah pipa memiliki dua penampang dengan luas penampang 0,5 m² di titik pertama dan 0,1 m² di titik kedua. Jika kecepatan fluida di titik pertama adalah 2 m/s, berapakah kecepatan fluida di titik kedua?
Jawaban:
Gunakan rumus kontinuitas:
Substitusi nilai yang diketahui:
Maka:
Soal 2: Contoh Soal Kontinuitas
Sebuah pesawat terbang memiliki sayap dengan luas 50 m². Kelajuan udara di atas sayap adalah 300 m/s, dan di bawah sayap adalah 290 m/s. Jika massa jenis udara adalah 1,2 kg/m³, berapakah gaya angkat yang dihasilkan?
Jawaban:
Dengan menggunakan rumus gaya angkat:
Substitusi nilai yang diketahui, Anda dapat menghitung gaya angkat pesawat.
Latihan soal:
Sebuah pipa berdiameter 4 cm mengalirkan air dengan debit 5π liter per detik. Berapakah kecepatan air pada pipa tersebut?
Fluida dinamis adalah konsep fisika yang sangat penting untuk memahami bagaimana fluida mengalir dan dipengaruhi oleh berbagai faktor. Pemahaman tentang hukum kontinuitas, hukum Bernoulli, dan aplikasi fluida dinamis dalam kehidupan sehari-hari memungkinkan kita untuk lebih memahami banyak teknologi dan sistem yang kita gunakan setiap hari. Maka dari itu, jika Anda kesusahan memahami konsep diatas, guru di Superprof siap membantu Anda. Tak hanya rumus fluida statis dan dinamis, Superprof siap mengajari anda konsep fisika lainnya seperti teorema Toricelli!
Ringkaskan dengan AI









