Mata pelajaran fisika mungkin salah satu pelajaran yang ditakuti banyak siswa pada umumnya. Namun, penting untuk diketahui bahwa ada banyak fenomena di sekitar kita yang berkaitan dan dapat dijelaskan secara fisika. Mempelajari ilmu fisika memberikan banyak pengetahuan dan menjawab hal-hal yang terjadi di sekitar kita.
Salah satu materi fisika yang sangat bermanfaat adalah listrik statis kelas 12. Dapatkah Anda menyebutkan contoh fenomena listrik statis? Pernahkah Anda melihat petir? Apa yang Anda pikirkan saat melihat petir? Ya, petir terjadi karena gesekan antar awan yang melahirkan elektron-elektron bebas. Nah, petir inilah salah satu peristiwa yang berkaitan dengan listrik statis. Atau dalam contoh yang lebih sederhana, pernahkah Anda memperhatikan debu yang menempel pada layar TV? Hal ini juga dapat dijelaskan dengan listrik statis.
Untuk lebih memahami apa itu listrik statis, bagaimana rumus menghitungnya, teruslah membaca! Ada banyak hal yang dapat dipelajari bersama.
Jika Anda merasa kesulitan dalam memahami materi listrik statis kelas 12 dan materi fisika lainnya, jangan ragu untuk meminta bantuan ke guru privat Superprof. Kami dapat menciptakan suasana belajar yang lebih menyenangkan dan mudah dipahami.
Apa itu Listrik Statis?

Listrik statis adalah listrik yang terjadi akibat sebuah benda digosok dengan benda tertentu sehingga salah satu dari benda tersebut kehilangan beberapa elektron yang menyebabkan benda itu bermuatan listrik.
Muatan listrik ada dua jenis, yaitu muatan positif dan muatan negatif. Dua muatan listrik dapat menimbulkan gaya tarik-menarik atau gaya tolak-menolak. Jika dua benda bermuatan listrik yang sejenis, misalnya positif (+) dengan positif (+) atau negatif (-) dengan negatif (-) maka benda tersebut akan saling tolak menolak. Jika dua benda bermuatan tidak sejenis, yaitu positif (+) dengan negatif (-) maka kedua benda tersebut akan saling tarik menarik. Muatan listrik diberi simbol Q, dan satuannya adalah Coulomb (C).
Peristiwa tolak menolak atau tarik menarik benda disebut interaksi elektrostatik atau interaksi muatan-muatan listrik diam (tidak mengalir).
Listrik statis tidak dapat mengalir dari satu tempat ke tempat yang lain, melainkan hanya menyala sekejap di satu tempat. Jadi, listrik statis tidak dapat menghasilkan arus listrik. Berbeda halnya dengan listrik dinamis yang mana listrik statis cenderung diam atau tidak bergerak sedangkan listrik dinamis dapat bergerak atau mengalir. Contohnya, saat Anda menekan saklar pada posisi ON, maka akan terjadi aliran listrik yang menyebabkan lampu menyala. Tapi, saat menekan saklar dalam posisi OFF, maka lampu akan mati karena aliran listriknya terhenti.
Periksa di sini untuk mengetahui hukum hooke
Manfaat Listrik Statis dalam Kehidupan Sehari-hari
Tentu saja, ilmu fisika memiliki penerapan dan manfaatnya dalam kehidupan sehari-hari. Ini juga termasuk listrik statis kelas 12. Materi listrik statis kelas 12 memberikan gambaran bagaimana konsep ini memiliki pengaruh dalam kehidupan sehari-hari. Nah berikut beberapa manfaat penerapan konsep listrik statis.
Pengecatan mobil
Di dalam kehidupan sehari-hari, listrik statis sering dimanfaatkan untuk pengecatan mobil. Pada saat cat disemprotkan, butiran halus yang ada pada cat akan bergesekkan dengan udara sehingga memiliki muatan listrik.
Sementara itu, permukaan mobil yang akan dicat akan diberikan muatan yang berlawanan dengan butiran cat. Sehingga, butiran-butiran cat tersebut dapat tertarik ke permukaan mobil dan menempel dengan sempurna.
Printer laser
Salah satu pemanfaatan listrik statis selanjutnya terdapat pada printer laser. Jadi, pada saat photoreceptor drum yang bermuatan positif berputar, laser bersinar melintasi permukaan yang tidak bermuatan. Laser selanjutnya menggambar pada kertas yang bermuatan negatif.
Setelah melewati photoreceptor drum yang berputar, kemudian kertas akan melewatifuser. Nah, bagian fuser inilah yang menyebabkan kertas jadi terasa panas saat baru keluar dari printer.
Cek di sini untuk mengetahui apa itu voltmeter
Rumus Listrik Statis
Di dalam listrik statis, ada beberapa rumus yang biasanya digunakan. Berikut merupakan rumus listrik statis yang perlu Anda ketahui.
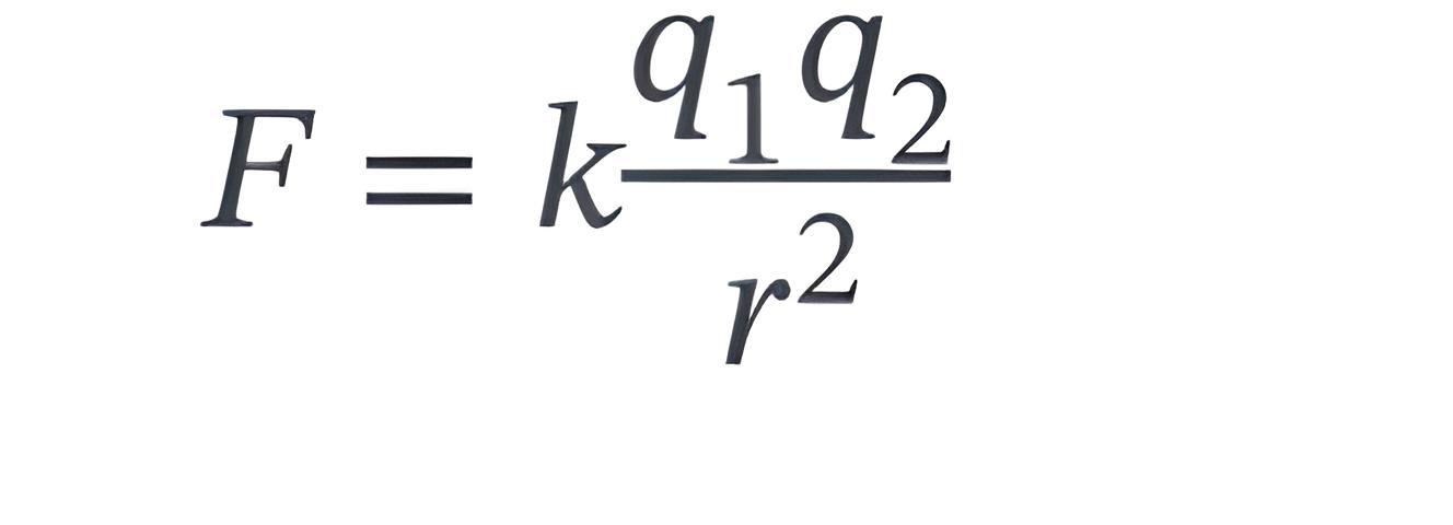
- Gaya Coloumb

Besarnya gaya listrik yang terjadi antara dua benda yang bermuatan, dengan jarak benda disebut gaya coulomb. Di mana, muatan-muatan yang berlainan jenis akan tarik-menarik. Sedangkan, muatan yang sejenis akan tolak-menolak.
Sehingga, besarnya gaya tarik-menarik atau tolak-menolak tersebut bisa dirumuskan melalui persamaan:

Keterangan:
F = gaya coulomb (N)
k = koefisien (9 x 109 Nm2/C2)
r = jarak antar muatan (m)
q1 dan q2 = muatan masing-masing partikel (C)
- Kuat Medan Listrik
Medan listrik adalah daerah di sekitar partikel bermuatan listrik yang terus-menerus mengalami pengaruh gaya listrik, yang dikenal sebagai Gaya Coulomb. Dengan kata lain, muatan listrik memiliki kemampuan untuk menciptakan medan listrik.
Di bawah ini, terdapat rumus untuk menghitung kuat medan listrik:

Keterangan:
E = kuat medan listrik (N/C)
F = gaya coulomb (N)
r = jarak muatan uji terhadap muatan sumber (m)
Q = besar muatan sumber (C)
q = besar muatan uji (C)
- Hukum Gauss
Hukum Gauss adalah prinsip yang menjelaskan tentang jumlah garis gaya listrik (fluks listrik) yang menembus suatu permukaan tertutup. Fluks listrik ini sama dengan jumlah muatan listrik yang terkurung oleh permukaan tertutup tersebut, dibagi oleh konstanta dielektrik vakum ε₀ (epsilon nol). Secara sistematis, hukum Gauss dapat dirumuskan sebagai berikut:

Keterangan:
A = luas permukaan tertutup (m2)
ϕ = fluks listrik (Wb/weber)
Θ = sudut antara E dan arah normal
E = medan listrik (Nm2/C2)
ε0 = permitivitas udara
Cek di sini untuk mempelajari hukum Gauss
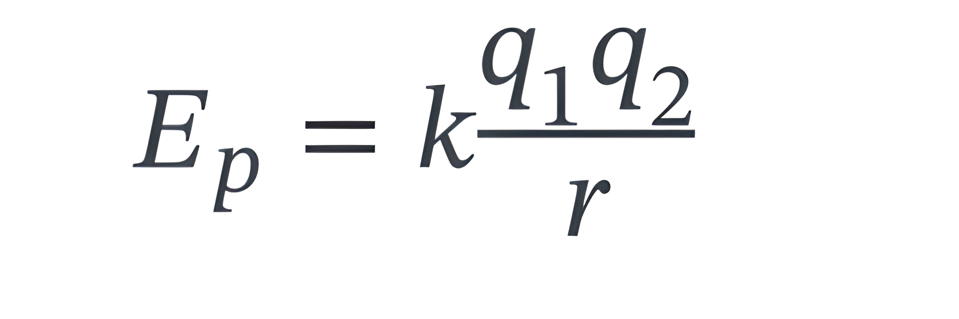
- Energi Potensial
Energi potensial listrik adalah bentuk energi atau pekerjaan yang diperlukan untuk memindahkan muatan listrik dari satu lokasi ke lokasi lainnya. Berikut rumus energi potensial listrik:

Keterangan:
Ep = energi potensial muatan uji
k = koefisien (9x109Nm2/C2)
r = jarak terhadap sumber muatan (m)
q1 dan q2 =muatan masing-masing partikel (C)
- Potensial Listrik
Potensial listrik adalah jumlah usaha yang diperlukan untuk memindahkan satu muatan dari satu titik ke titik lainnya, per satuan muatan. Untuk menghitung besarnya potensial listrik di suatu titik, Anda dapat menggunakan rumus potensial listrik berikut ini:

Keterangan:
V = potensial listrik (volt)
Q = muatan sumber (C)
k = koefisien (9x109Nm2/C2)
r = jarak terhadap sumber muatan (m)
- Energi Kapasitor
Kapasitor adalah salah satu perangkat listrik yang berfungsi untuk menyimpan energi dalam jangka waktu singkat, sehingga energi tersebut dapat dilepaskan dengan cepat. Besar kapasitas kapasitor dapat dihitung dengan menggunakan rumus kapasitor seperti yang tertera di bawah ini:

Keterangan:
C = kapasitas kapasitor (Farad atau f)
q = muatan antara dua keping (C)
V = beda potensial antara dua keping (volt)
A = luas penampang keping (m2)
ε = permitivitas dielektrik bahan
Periksa di sini untuk mempelajari hakikat ilmu fisika
Contoh Soal Listrik Statis
Untuk membantu Anda memahami konsep listrik statis dan rumus listrik, berlatih mengerjakan beberapa contoh soal akan sangat membantu.
Berikut contoh soal listrik statis kelas 12.
Anda dapat belajar lebih banyak bersama guru privat Superprof!
Soal 1
Besarnya energi potensial yang dimiliki oleh benda bermuatan +10 µC yang berada 12 cm dari benda lain yang bermuatan -10 µC adalah ….
Jawaban:

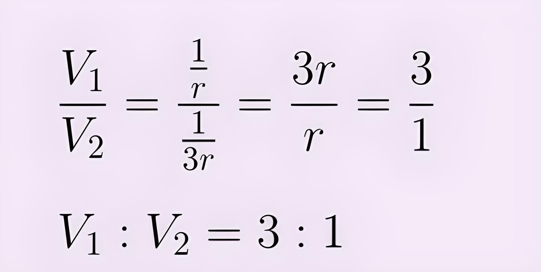
Soal 2
Perbandingan potensial listrik pada dua titik yang jaraknya masing-masing r dan 3r dari sebuah benda bermuatan listrik Q adalah ….
Jawaban:

Soal 3
Bila sebuah partikel bermuatan 4 x 10⁻¹⁹ C ditempatkan dalam medan listrik homogen yang kuat medannya 1,2 x 10⁵ N/C maka partikel tersebut akan mengalami gaya sebesar…
Coba kerjakan Soal 3 di atas dan diskusikan jawaban Anda pada kolom komentar!
Belajar lebih mudah dan menyenangkan bersama Superprof.
Ringkaskan dengan AI


















