Matematika adalah ilmu yang bisa diterapkan dalam kehidupan sehari-hari. Tidak hanya hitungan sederhana seperti penambahan pengurangan perkalian dan pembagian saja. Banyak ilmu dalam matematika yang dapat diterapkan di kehidupan sehari hari. Salah satunya adalah pola Bilangan.
Saat Anda akan memulai permainan Billiard, Bola akan disusun menjadi sebuah pola segitiga diatas meja. Penyusunan bola bola itu menggunakan pola bilangan. Pada baris pertama terdapat 1 bola, pada baris kedua terdapat 2 bola dan pada baris ketiga terdapat 3 bola, pada baris ke-empat terdapat 4 bola dan pada baris terakhir terdapat 5 bola.
Periksa di sini jika ingin mengetahui pengertian dari bilangan berpangkat
Definisi Pola Bilangan
Jika kita pisah dua kata dari kata pola bilangan. Maka terdapat dua kata yaitu pola dan bilangan. Pola adalah bentuk atau susunan yang tetap. Sedangkan bilangan adalah satuan jumlah yang merujuk kepada angka. Pola bilangan tentu tidak lepas dari sejarah tentang bilangan itu sendiri. Bilangan muncul saat masyarakat Mesir Kuno yang tinggal di sepanjang Sungai Nil memerlukan sebuah perhitungan untuk membangun berbagai infrastruktur di sepanjang sungai. Pada mulanya bilangan hanya digunakan untuk mengingat jumlah saja, namun dalam perkembangannya ahli matematika modern menambahkan perbendaharaan simbol dan kata yang tepat untuk mendefinisikan bilangan. Sehingga terbentuklah berbagai bilangan seperti saat ini.
Cek disini untuk les privat matematika

Dapat disimpulkan bahwa pola bilangan adalah bentuk atau susunan yang tetap pada suatu angka. Bentuk atau yang kita sebut dengan pol aini dapat membentuk pola-pola tertentu seperti persegi, persegi panjang, segitiga, garis lurus dan masih banyak pola lainnya yang dapat dibentuk. Pola bilangan ini tidak hanya berupa angka saja, namun dapat juga berupa titik, noktah, dll. Pola yang terbentuk dari susunan atau barisan ini kemudian akan menghasilkan rumus umum untuk menentukan suku ke-n pada suatu bilangan. Setelah Anda memahami pola yang terbentuk, Anda bisa mendapatkan rumus untuk mengetahui bilangan selanjutnya sesuai dengan pola. Rumus ini nantinya bisa digunakan untuk mencari bilangan ke sekian yang disimbolkan sebagai sukuk e-n yang sesuai dengan pola yang sudah terbentuk.
Para ahli matematika telah mengelompokkan pola menjadi 9 bentuk pola yang tentunya juga memiliki rumus yang berbeda-beda. Tetaplah baca tulisan ini untuk mengetahui kesembilan macam pola bilangan tersebut agar Anda lebih memahaminya.
Jika sudah memahami pola bilangan, silakan pahami juga pengertian eksponen pada artikel Kami lainnya!
Macam-Macam Pola Bilangan
Anda sudah membaca pengertian dari pola bilangan. Menurut definisi tersebut, bilangan-bilangan tersebut akan membentuk pola tertentu. Susunan pola ini tentu bentuknya bermacam-macam. Berikut adalah beberapa jenis pola bilangan yang perlu anda ketahui!
1. Pola Bilangan Ganjil

Pola bilangan ganjil adalah susunan angka yang terdiri dari angka-angka ganjil, mulai dari angka 1, 3, 5, 7, 9, dan seterusnya. Pola ini sangat mudah dikenali karena hanya berisi angka-angka ganjil yang bertambah secara teratur.
Rumus pola bilangan ganjil:
Misalnya, untuk mencari suku ke-4, anda tinggal masukkan nilai n = 4:
Jadi, suku ke-4 dari pola bilangan ganjil adalah 7!
2. Pola Bilangan Genap

Pola bilangan genap adalah kebalikan dari pola bilangan ganjil, yaitu susunan angka yang terdiri dari angka-angka genap, mulai dari angka 2, 4, 6, 8, 10, dan seterusnya. Angka-angka genap ini selalu habis dibagi 2.
Rumus pola bilangan genap:
Sebagai contoh, jika anda ingin mencari suku ke-5, tinggal masukkan n = 5:
Maka suku ke-5 adalah 10.
Jika materi ini dirasa terlalu sulit, Kami menyarankan kalian membaca tentang materi KPK dan FPB!
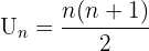
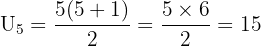
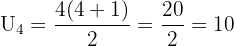
3. Pola Bilangan Segitiga

Seperti namanya, pola segitiga membentuk susunan angka yang menyerupai bentuk segitiga. Setiap suku pada pola ini menunjukkan jumlah angka yang membentuk bentuk segitiga. Misalnya, 1, 3, 6, 10, 15, dan seterusnya.
Rumus pola bilangan segitiga:
Sebagai contoh, untuk mencari suku ke-4:
Jadi, suku ke-4 dari pola bilangan segitiga adalah 10. Pola ini sangat berguna saat menghitung jumlah benda yang tersusun dalam bentuk segitiga, seperti bola billiard.
4. Pola Bilangan Persegi

Pola bilangan persegi adalah susunan angka yang membentuk bentuk persegi, di mana angka-angka dalam pola ini adalah kuadrat dari bilangan bulat. Contoh dari pola ini adalah 1, 4, 9, 16, 25, dan seterusnya.
Rumus pola bilangan persegi:
Jika anda ingin mencari suku ke-5, anda tinggal masukkan n = 5:
Maka, suku ke-5 dari pola bilangan persegi adalah 25.
5. Pola Bilangan Persegi Panjang

Pola persegi panjang membentuk angka-angka yang disusun dalam bentuk persegi panjang. Angka-angka ini mengikuti rumus tertentu yang menghasilkan susunan dalam bentuk persegi panjang.
Rumus pola bilangan persegi panjang:
Misalnya, untuk mencari suku ke-4, tinggal masukkan n = 4:
Jadi, suku ke-4 dari pola bilangan persegi panjang adalah 20.
6. Pola Bilangan Pascal

Pola bilangan Pascal disebut demikian karena ditemukan oleh ilmuwan asal Prancis bernama Blaise Pascal. Pola ini juga dikenal dengan nama segitiga Pascal, di mana angka-angka di dalamnya dihasilkan dari penjumlahan dua angka yang saling berdampingan di baris sebelumnya. Setiap baris dalam segitiga Pascal membentuk pola tertentu.
Rumus pola bilangan Pascal:
Sebagai contoh, jika anda ingin menghitung angka pada baris ke-4, gunakan rumus:
Jadi, angka pada baris ke-4 adalah 8.
7. Pola Bilangan Aritmatika
Pola bilangan aritmatika adalah susunan angka yang memiliki selisih tetap antara dua angka berturut-turut. Misalnya, pola 1, 5, 9, 13, 17, dan seterusnya. Setiap angka bertambah dengan selisih yang sama, yaitu 4.
Rumus pola bilangan aritmatika:
Sebagai contoh, untuk mencari suku ke-5, kita tahu bahwa suku pertama adalah 1 dan beda antar suku adalah 4. Maka,
Jadi, suku ke-5 adalah 17.
8. Pola Bilangan Fibonacci
Pola bilangan Fibonacci adalah susunan angka yang diperoleh dengan cara menjumlahkan dua angka sebelumnya untuk menghasilkan angka berikutnya. Misalnya, 0, 1, 1, 2, 3, 5, 8, dan seterusnya.
Rumus pola bilangan Fibonacci:
Jadi, angka berikutnya dalam pola Fibonacci dapat dihitung dengan menjumlahkan dua angka sebelumnya. Misalnya, untuk mencari suku ke-7, anda tinggal menjumlahkan suku ke-6 dan suku ke-5:
Maka, suku ke-7 adalah 13.
Silahkan baca tulisan Kami tentang pengertian sigma dalam Matematika untuk menambah wawasan pengetahuan kalian!
Contoh soal pola bilangan kelas 8
Salah satu cara untuk mempermudah kita memahami pola bilangan adalah dengan melihat berbagai contoh soal dan memecahnya langkah demi langkah. Berikut adalah tiga contoh soal pola bilangan lengkap dengan pembahasan yang mudah dipahami:
Contoh Soal 1
Soal:
Tentukan suku ke-7 dari pola bilangan ganjil!
Penyelesaian:
Pola bilangan ganjil adalah susunan angka yang terdiri dari angka-angka ganjil, yaitu 1, 3, 5, 7, 9, 11, dan seterusnya. Pola ini memiliki rumus sebagai berikut:
Untuk mencari suku ke-7, kita substitusikan n = 7 ke dalam rumus:
Jadi, suku ke-7 dari pola bilangan ganjil adalah 13.
Contoh Soal 2
Soal:
Tentukan suku ke-5 dari pola bilangan segitiga!
Penyelesaian:
Pola bilangan segitiga adalah susunan angka yang membentuk segitiga, seperti 1, 3, 6, 10, 15, dan seterusnya. Pola ini memiliki rumus sebagai berikut:
Untuk mencari suku ke-5, kita substitusikan n = 5 ke dalam rumus:
Jadi, suku ke-5 dari pola bilangan segitiga adalah 15.
Contoh Soal 3
Soal:
Tentukan suku ke-6 dari pola aritmatika yang dimulai dengan 3 dan memiliki beda 5 antara suku berturut-turut!
Penyelesaian:
Pola bilangan aritmatika adalah susunan angka yang memiliki selisih tetap antara dua angka berturut-turut. Dalam soal ini, suku pertama a = 3 dan selisih b = 5. Pola ini memiliki rumus sebagai berikut:
Untuk mencari suku ke-6, kita substitusikan a = 3, b = 5, dan n = 6 ke dalam rumus:
Jadi, suku ke-6 dari pola bilangan aritmatika adalah 28.
Masih Belum Paham? Cari Guru Privatdi Superprof Sekarang
Sudah paham dengan berbagai pola bilangan yang kita bahas tadi? Jika masih ada yang belum jelas mengenai materi pola bilangan kelas 8, Superprof adalah solusinya! Superprof memiliki banyak guru privat yang siap membantu anda memahami soal pola bilangan kelas 8 secara lebih mendalam. Dengan bimbingan yang tepat, anda akan bisa lebih mudah menguasai rumus pola bilangan persegi panjang, pola bilangan segitiga, dan pola lainnya.
Tidak hanya itu, banyak guru di Superprof yang memberikan sesi percakapan pertama gratis!
Temukan disini les privat matematika terbaik!
Ringkaskan dengan AI









