Fisika sering kali dianggap sebagai mata Pelajaran sulit dan kurang diminati oelh banyak siswa, tetapi tahukah kamu bahwa fisika sebenarnya sangat membantu kita untuk memahami bagaimana dunia di sekitar kita berfungsi? Salah satu topik yang paling menarik dalam fisika adalah listrik. Bayangkan, bagaimana jika dunia yang kita tempati ini tidak memiliki listrik? Semua kegiatan yang kita jalani sehari-hari—mulai dari menyalakan lampu, mengecas ponsel, hingga menggunakan berbagai alat elektronik—akan sangat terbatas. Inilah alasan mengapa mempelajari fisika, terutama tentang listrik, sangatlah penting.
Salah satu konsep penting yang harus dipahami adalah muatan listrik, yang terdiri dari dua jenis: positif dan negatif. Kedua muatan ini dapat saling berinteraksi dan menghasilkan gaya yang mempengaruhi benda-benda di sekitarnya. Di dalam materi Hukum Coulomb dan medan Listrik yang dipelajari di fisika kelas 12, kita akan menggali lebih dalam bagaimana dua muatan dapat menghasilkan gaya yang saling tolak-menolak atau tarik-menarik. Misalnya, saat dua ujung batu baterai didekatkan, kita bisa merasakan kedua ujung tersebut saling tolak menolak dan tidak bisa menempel. Fenomena ini dikenal dengan gaya elektrostatis. Penasaran bagaimana fenomena ini bekerja dan bagaimana hukum Coulomb menjelaskannya? Yuk, simak pembahasan lengkapnya di artikel berikut ini!
Klik disini untuk mempelajari tentang efek doppler dan manfaatnya!
Apa Yang Dimaksud Dengan Gaya Coulomb?
Gaya Coulomb adalah gaya yang timbul akibat interaksi antara dua muatan listrik. Gaya ini bisa berupa gaya tarik-menarik atau gaya tolak-menolak, tergantung pada jenis muatan yang saling berinteraksi.
Jika dua muatan memiliki jenis yang berbeda, yaitu satu positif dan satu negatif, maka gaya yang terjadi adalah gaya tarik-menarik. Sebaliknya, jika kedua muatan memiliki jenis yang sama, misalnya keduanya positif atau keduanya negatif, maka gaya yang terjadi adalah gaya tolak-menolak.
Agar Anda lebih paham, perhatikan ilustrasi berikut.

Fenomena ini sangat penting dalam memahami konsep listrik statis, yang merujuk pada muatan listrik yang tidak bergerak atau terhenti dalam suatu objek. Gaya Coulomb digunakan untuk menjelaskan berbagai fenomena kelistrikan di dunia nyata, seperti pengaruh muatan terhadap benda yang bermuatan, cara muatan berinteraksi, serta aplikasi lainnya dalam teknologi dan kehidupan sehari-hari.
Gaya Coulomb memiliki peranan yang sangat besar dalam fisika, terutama dalam menjelaskan interaksi antar partikel bermuatan di alam semesta. Setiap muatan listrik, baik itu dalam bentuk benda atau partikel subatomik seperti elektron dan proton, menghasilkan gaya yang mempengaruhi gerakannya.
Bagaimana Konsep Hukum Coulomb Diciptakan?
Konsep hukum Coulomb, yang menjelaskan interaksi gaya antara dua muatan listrik, merupakan salah satu penemuan terbesar dalam bidang fisika, khususnya dalam kajian elektrostatika. Hukum ini ditemukan oleh Charles Augustin de Coulomb pada abad 18, jauh sebelum teori listrik modern dan perangkat pengukur canggih ditemukan.
Namun, sebenarnya sebelum Coulomb mengemukakan hukum Coulomb, banyak ilmuwan sudah mulai meneliti pada fenomena listrik statis, yakni fenomena ketika suatu benda dapat menarik atau menolak benda lain setelah mendapatkan muatan listrik.
Listrik statis ini dapat terlihat dengan jelas dalam kehidupan sehari-hari, seperti ketika rambutmu berdiri setelah disikat dengan kain atau ketika benda ringan seperti kertas tertarik oleh balok ambar yang digosok dengan kain bulu kucing.
Pada tahun 1600, seorang ilmuwan asal Inggris, William Gilbert, melakukan penelitian untuk membedakan antara efek magnet dan listrik statis. Penelitiannya membuahkan hasil dengan ditemukanlah istilah "electric", yang berasal dari kata Yunani ēlektron yang berarti ambar. Penelitian ini membuka jalan bagi penemuan lebih lanjut tentang listrik dan magnet.
Pada abad ke-18, ilmuwan-ilmuwan seperti Daniel Bernoulli dan Alessandro Volta mulai melakukan percobaan untuk mempelajari interaksi gaya antara muatan listrik. Mereka melakukan eksperimen untuk mengukur gaya yang ditimbulkan antara dua pelat kapasitor, yang digunakan untuk menyimpan muatan listrik.
Bernoulli dan Volta juga berupaya untuk melihat apakah gaya antara dua muatan listrik ini berkurang seiring dengan bertambahnya jarak antara muatan atau jika gaya ini dipengaruhi oleh gaya gravitasi.
Pada tahun 1758, ilmuwan Franz Aepinus mengembangkan teori yang menyatakan bahwa gaya antara dua muatan listrik mengikuti hukum kuadrat terbalik—sebuah prinsip yang kemudian menjadi dasar bagi hukum Coulomb. Teori ini menyatakan bahwa gaya tarik-menarik atau tolak-menolak antara dua muatan listrik berbanding terbalik dengan kuadrat jarak antara muatan-muatan tersebut.
Sebelum Coulomb menyusun hukum yang lebih lengkap, Joseph Priestley, seorang ilmuwan asal Inggris, juga melakukan eksperimen pada muatan listrik. Priestley berpendapat bahwa gaya listrik mengikuti hukum kuadrat terbalik, tetapi hanya sebatas teori tanpa percobaan yang mendalam.
Puncaknya, pada tahun 1785, Charles Augustin de Coulomb, seorang ilmuwan Prancis, melakukan eksperimen yang lebih mendalam dan menyusun rumus yang menjelaskan gaya antara dua muatan listrik. Coulomb menggunakan alat yang dikenal dengan neraca torsi (torsion balance) untuk mengukur gaya tarik-menarik atau tolak-menolak antara dua benda bermuatan.
Dengan percobaan ini, Coulomb dapat mengukur gaya yang timbul antara dua bola bermuatan listrik dengan mengatur jarak antara keduanya, serta mengukur gaya berdasarkan besar muatan yang ada pada masing-masing bola.
Dari hasil percobaannya, Coulomb mendapati bahwa gaya listrik yang bekerja di antara dua muatan listrik berbanding lurus dengan hasil kali besar muatan-muatan tersebut, dan berbanding terbalik dengan kuadrat jarak antara muatan-muatan tersebut. Hasil penelitian Coulomb inilah yang kemudian dikenal sebagai Hukum Coulomb.
Dalam hukum ini, Coulomb berhasil menyarikan hubungan matematis yang mendalam mengenai bagaimana gaya tarik atau tolak menolak bekerja antara dua muatan listrik. Penemuan ini mengubah cara ilmuwan memandang interaksi antar muatan listrik dan menjadi salah satu konsep dasar dalam elektrostatika.
Bagaimana Bunyi Hukum Coulomb?

Bunyi hukum Coulomb berdasarkan penelitian yang dilakukan oleh Charles Augustin de Coulomb adalah sebagai berikut:
"Jika terdapat dua benda bermuatan listrik, maka akan timbul gaya antara kedua muatan tersebut. Gaya tersebut berbanding lurus dengan hasil kali besar muatan-muatan tersebut dan berbanding terbalik dengan kuadrat jarak antara kedua benda."
Dalam bunyi hukum ini, terdapat dua hal yang sangat penting:
- Gaya tersebut berbanding lurus dengan hasil kali besar muatan-muatan. Artinya, semakin besar muatan yang dimiliki oleh kedua benda, semakin besar pula gaya yang terjadi antara keduanya.
- Gaya tersebut berbanding terbalik dengan kuadrat jarak antara kedua benda. Artinya, semakin jauh jarak antara kedua benda bermuatan, semakin kecil gaya yang bekerja di antara keduanya.
Hukum Coulomb mengungkapkan bahwa gaya antara dua muatan listrik tidak hanya tergantung pada besarnya muatan, tetapi juga sangat dipengaruhi oleh jarak antara kedua muatan tersebut.
Satuan Coulomb
Satuan Internasional dari hukum Coulomb adalah Coulomb (C), yang diambil dari nama ilmuwan Charles Augustin de Coulomb. Satuan ini digunakan untuk mengukur besar muatan listrik yang dimiliki oleh suatu benda. Satu Coulomb didefinisikan sebagai jumlah muatan yang mengalir melalui kawat konduktor dalam waktu satu detik ketika arus listrik sebesar satu ampere mengalir.
Satuan Coulomb paling kecil adalah mikro coulomb. Yang mana konversi miu coulomb ke coulomb adalah
coulomb. Simbol mikro coulomb adalah μC, yang mengindikasikan satuan muatan listrik yang sangat kecil.
Micro coulomb bisa di ukur menggunakan alat yang bernama neraca puntir, jadi apa itu neraca puntir?
Neraca Puntir
Neraca puntir adalah sebuah alat yang digunakan untuk mengukur gaya yang sangat kecil, seperti gaya tarik-menarik atau tolak-menolak antara dua muatan listrik. Alat ini menjadi sangat penting dalam eksperimen fisika, terutama dalam memverifikasi Hukum Coulomb yang dikemukakan oleh Charles-Augustin de Coulomb pada abad ke-18. Alat ini memungkinkan pengukuran gaya yang sangat kecil dengan akurasi tinggi, yang diperlukan dalam eksperimen-eksperimen.
Secara sederhana, neraca puntir terdiri dari sebuah batang horizontal yang tergantung pada kawat tipis. Kedua ujung batang tersebut terhubung dengan dua benda bermassa atau bermuatan yang diletakkan berdekatan dengan benda lain yang juga bermassa atau bermuatan. Ketika gaya tarik-menarik atau tolak-menolak bekerja pada benda-benda tersebut, batang akan berputar, dan puntiran kawat akan menyeimbangkan torsi yang dihasilkan oleh gaya tersebut.
Prinsip Kerja Neraca Puntir
Prinsip kerja neraca puntir didasarkan pada hubungan antara torsi yang dihasilkan oleh gaya yang bekerja pada benda dan puntiran kawat yang menyeimbangkan torsi tersebut. Berikut adalah langkah-langkah bagaimana neraca puntir bekerja:
- Pemasangan Muatan atau Massa: Dua benda bermuatan atau bermassa dipasang pada kedua ujung batang horizontal neraca puntir. Benda-benda ini berinteraksi dengan benda lain yang juga bermuatan atau bermassa.
- Gaya yang Bekerja: Jika benda-benda ini bermuatan listrik, mereka akan mengalami gaya tarik-menarik atau tolak-menolak sesuai dengan Hukum Coulomb. Jika benda-benda ini bermassa, gaya yang bekerja bisa berupa gaya gravitasi.
- Torsi yang Dihasilkan: Gaya tersebut menyebabkan batang horizontal berputar, menciptakan torsi pada kawat elastis yang menggantung batang tersebut.
- Puntiran Kawat: Kawat akan berpuntir hingga torsi dari gaya yang bekerja seimbang dengan torsi puntiran kawat. Pada titik keseimbangan, besar puntiran kawat berkaitan langsung dengan besar gaya yang bekerja.
- Pengukuran Gaya: Dengan mengetahui sudut puntiran dan karakteristik kawat, besar gaya yang bekerja dapat dihitung. Rumus untuk menghubungkan torsi, gaya, dan puntiran kawat adalah:
Dimana:
-
adalah torsi yang dihasilkan oleh gaya.
-
adalah konstanta puntiran kawat (stiffness constant).
-
adalah sudut puntiran.
Apakah gaya coulomb mempengaruhi sifat-sifat magnet?
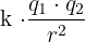
Rumus Gaya Coulomb
Untuk menghitung besar gaya Coulomb antara dua muatan listrik, kita menggunakan rumus listrik statis yang ditemukan oleh Coulomb dalam eksperimennya. Rumus ini menjelaskan hubungan antara gaya listrik, besar muatan, dan jarak antar muatan.
Rumus gaya Coulomb dapat ditulis sebagai berikut:
F = 
Keterangan:
- F = Gaya Coulomb (N)
- k = Konstanta Coulomb
- q₁, q₂ = Besar muatan listrik masing-masing (Coulomb)
- r = Jarak antara kedua muatan (meter)
Gaya Coulomb ini dipengaruhi oleh konstanta coulomb (k) yang nilainya bergantung oada permitivitas medium. Jika kedua muatan itu berada dalam medium udara, maka rumus konstanta Coulombnya adalah
k = 9 x 109 Nm2/C2
Dari rumus besar muatan listrik gaya Coulomb ini kita juga dapat melihat bahwa semakin jauh jarak antara kedua muatan akan menghasilkan gaya listrik yang semakin kecil. Dan sebaliknya, jika jarak antara kedua muatan dekat, maka gaya listrik yang dihasilkan juga semakin besar.
Lantas, bagaimana rumus besar gaya Coulomb untuk menentukan ada sebuah partikel bermatan yang dipengaruhi juga oleh dua atau lebih muatan lain? Maka Anda dapat menyelesaikannya menggunakan vektor. Perhatikan gambar berikut.

Dari ilustrasi di atas dapat dilihat vektor-vektor gaya coulomb yang bekerja apda muatan q2. Vektor gaya coulomb pada q2 yang disebabkan oleh q1 adalah F21 (tolak menolak) dan vektor gaya coulomb pada q2 yang disebabkan oleh q3 adalah F23 (tarik menarik). Maka dari itu, ada dua vektor gaya coulomb yang bekerja pada q2, atau dapat dituliskan dengan:
F2 = F21 + F23
Atau secara umum, gaya total yang bekerja pada sebuah muatan merupakan resultan dari gaya-gaya yang bekerja pada muatan tersebut.
Pelajari juga materi tentang rumus tekanan dalam fisika!
Contoh Soal Hukum Coulomb Kelas 9
Dibawah ini kami sajikan beberapa contoh soal muatan listrik yang dapat kamu pelajari:
Soal 1:
Dua buah benda bermuatan listrik tidak sejenis tarik menarik dengan gaya sebesar
. Jika muatan pertama adalah
dan muatan kedua adalah
, hitunglah jarak antara kedua benda tersebut!
Pembahasan:
Untuk menyelesaikan soal ini, kita dapat menggunakan rumus Hukum Coulomb:
Langkah-langkahnya adalah sebagai berikut:
1. Substitusi nilai-nilai yang diketahui ke dalam rumus:
2. Sederhanakan persamaan untuk mencari nilai
:
Jawaban: Jarak antara kedua benda tersebut adalah sekitar 0,33 meter atau 33 cm.
Soal 2:
Dua buah benda bermuatan listrik, satu dengan muatan
dan yang lain dengan muatan
, terletak pada jarak 10 cm satu sama lain. Hitunglah gaya tarik-menarik antara kedua muatan tersebut!
Pembahasan:
Ini adalah contoh soal di mana dua muatan listrik tidak sejenis tarik-menarik dengan gaya yang akan kita hitung. Gunakan rumus Hukum Coulomb:
Substitusikan nilai yang diketahui:
Jawaban: Gaya tarik-menarik antara kedua benda adalah 9 N.

Soal 3:
Dua muatan listrik,
dan
, terpisah sejauh 2 meter. Tentukan gaya Coulomb yang terjadi!
Pembahasan: Gunakan rumus gaya Coulomb:
Dengan
dan
, kita substitusi nilai-nilai ini:
Soal 4:
Jika
dan
, serta jarak antara keduanya adalah 3 meter, tentukan besar gaya elektrostatis yang timbul!
Pembahasan: Dengan rumus yang sama, kita akan mendapatkan gaya tarik-menarik antara kedua muatan. Gaya ini bersifat negatif, karena muatan yang berbeda jenis (positif dan negatif) saling tarik-menarik.
Soal 5:
Dua muatan,
dan
, terpisah sejauh 4 meter. Tentukan gaya Coulomb yang timbul antara kedua muatan tersebut!
Pembahasan: Karena kedua muatan sejenis (positif dan positif), gaya yang timbul adalah tolak-menolak. Gunakan rumus gaya Coulomb:
Soal Latihan Hukum Coulomb
Setelah memahami penggunaan rumus listrik statis dari gaya Coulomb, kamu bisa mencoba beberapa soal latihan untuk melatih kemampuan kamu:
- Dua muatan
dan
terpisah sejauh 5 meter. Hitung gaya Coulomb yang terjadi! - Diketahui dua muatan
dan
, dengan jarak antara kedua muatan 10 cm. Tentukan besar gaya elektrostatis yang timbul! - Dua muatan listrik
dan
terpisah sejauh 4 meter. Hitung gaya Coulomb yang terjadi! - Diberikan muatan
dan
, dengan jarak 6 meter. Tentukan gaya Coulomb yang terjadi! - Dua muatan
dan
terpisah sejauh 1 meter. Tentukan besar gaya Coulomb yang timbul!
Tulislah uraian jawaban Anda dalam kolom komentar!
Bagaimana, tidakkah mudah belajar fisika? Jika Anda sudah memahami hukum Coulomb, coba sebutkan contoh penerapan hukum coulomb dalam kehidupan sehari-hari!
Jika Anda kesulitan belajar fisika dan membutuhkan bimbingan tambahan, jangan ragu untuk mencari guru privat fisika melalui Superprof. Dengan guru yang berpengalaman, Anda bisa mendapatkan pemahaman yang lebih baik dan meningkatkan kemampuan Anda dalam fisika. Tak hanya hukum coulomb dan medan listrik tapi anda juga bisa mempelajari materi fisika lainnya seperti tentang hukum kirchoff. Temukan guru yang tepat di Superprof dan mulai perjalanan belajar Anda sekarang!
Ringkaskan dengan AI









