Hukum Bernoulli adalah salah satu konsep dasar dalam fisika yang banyak diterapkan dalam berbagai bidang teknik, mulai dari penerbangan hingga rekayasa fluida. Ditemukan oleh fisikawan Swiss, Daniel Bernoulli, pada tahun 1738. Hukum Bernoulli menjelaskan tentang bagaimana aliran fluida (seperti udara atau air) berinteraksi dengan tekanan, kecepatan, dan ketinggian. Pemahaman tentang hukum ini sangat penting dalam ilmu fisika, karena memberikan wawasan tentang cara fluida bergerak dan bagaimana energi terkonservasi dalam aliran tersebut.
Tapi, kenapa sih kita harus mempelajari hukum ini? Sederhana! Hukum Bernoulli tidak hanya menjelaskan fenomena alam yang kita temui setiap hari, tapi juga mengungkap rahasia di balik teknologi modern saat ini. Yuk, kita mulai pembahasan lebih dalam tentang hukum Bernoulli!
Apa itu Hukum Bernoulli?

Bunyi Hukum Bernoulli menyatakan bahwa:
"kenaikan kecepatan aliran fluida menyebabkan penurunan tekanan fluida tersebut secara bersamaan"
Hal ini berarti ketika fluida (seperti udara atau air) bergerak lebih cepat di suatu area, tekanannya akan lebih rendah dibandingkan dengan area yang memiliki aliran lebih lambat.
Daniel Bernoulli, seorang fisikawan Swiss, pertama kali mengemukakan hukum ini dalam karya monumentalnya yang berjudul Hydrodynamica pada tahun 1738. Melalui penelitiannya, ia menemukan bahwa aliran fluida tidak hanya dipengaruhi oleh kekuatan mekanik, tetapi juga oleh interaksi antara tekanan dan kecepatan. Jadi, jika kamu merasa pusing mempelajarinya, ingat saja bahwa orang Swiss pada abad ke-18 juga sudah pusing duluan!
Pelajari juga rumus pemuaian dalam fisika
Persamaan Hukum Bernoulli
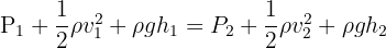
Untuk mempermudah pemahaman tentang hukum Bernoulli, mari kita lihat rumus matematikanya. Rumus hukum Bernoulli menggabungkan konsep energi kinetik dan potensial dalam fluida yang mengalir. Berikut adalah persamaan Bernoulli yang perlu kamu pelajari:
 
    Keterangan:
- P = tekanan,
 = massa jenis fluida, = massa jenis fluida,
- v = kecepatan fluida,
- h = ketinggian,
- g = percepatan gravitasi.
Aplikasi Hukum Bernoulli dalam Kehidupan Sehari-hari
Hukum Bernoulli bukan hanya teori, loh. Ia diterapkan dalam banyak teknologi modern yang mungkin kamu gunakan setiap hari! Berikut adalah beberapa contoh penerapan hukum Bernoulli dalam kehidupan sehari-hari:
Penerapan pada Aliran Udara dan Pesawat Terbang
Pesawat terbang tidak bisa terbang begitu saja hanya karena sayapnya bagus. Hukum Bernoulli berperan besar di sini! Ketika udara mengalir di atas dan di bawah sayap pesawat, kecepatan udara di atas sayap lebih tinggi dibandingkan di bawahnya. Hal ini menyebabkan tekanan di atas sayap lebih rendah daripada di bawah sayap. Perbedaan tekanan ini menciptakan gaya angkat (lift) yang mengangkat pesawat ke udara. Jadi, pesawat terbang itu, ya, berkat hukum Bernoulli!
Pelajari juga gaya lorentz dalam fisika.
Penerapan dalam Sistem Pipa dan Aliran Cairan
Ketika fluida mengalir melalui pipa dengan diameter yang bervariasi, kecepatan fluida akan meningkat di bagian pipa yang lebih sempit dan menurun di bagian pipa yang lebih lebar. Mengapa? Karena hukum Bernoulli mengatakan bahwa peningkatan kecepatan menyebabkan penurunan tekanan. Jadi, kalau kamu pernah melihat aliran air yang cepat keluar dari keran kecil, itulah hasil dari penerapan hukum Bernoulli!
Penerapan dalam Kapal Selam
Kapal selam juga memanfaatkan prinsip Bernoulli untuk beroperasi. Ketika kapal selam menyelam, perubahan tekanan air di sekitar kapal memengaruhi daya apung kapal tersebut. Dengan mengubah tekanan dalam kapal, kapal selam dapat "terapung" atau "menyelam" dengan kontrol yang sangat tepat. Hukum Bernoulli membantu mengatur hal ini!
Contoh Soal Hukum Bernoulli
Sekarang, agar kamu lebih paham tentang hukum Bernoulli, mari kita lihat contoh soal berikut!
Contoh Soal Hukum Bernoulli: Aliran Air di Pipa Berbeda Diameter
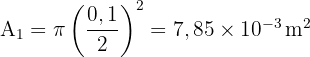
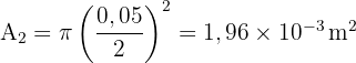
Sebuah aliran air mengalir melalui pipa horizontal yang memiliki dua bagian dengan diameter yang berbeda. Pada bagian pertama, diameter pipa adalah 0,1 m dan kecepatan aliran airnya 2 m/s. Sedangkan pada bagian kedua, diameter pipa lebih kecil, yaitu 0,05 m. Hitung kecepatan aliran air pada bagian kedua!
Penyelesaian Soal: Diketahui:
- Diameter pipa pertama d1 = 0,1 m
- Kecepatan aliran pada bagian pertama v1 = 2 m/s
- Diameter pipa kedua d2 = 0,05 m
- Karena aliran fluida kontinuitas, maka  , dengan A adalah luas penampang pipa. , dengan A adalah luas penampang pipa.
Luas penampang pipa (A) dapat dihitung menggunakan rumus luas lingkaran:
 
    Untuk pipa pertama:
 
    Untuk pipa kedua:
 
    Dengan prinsip kontinuitas,  , kita dapat menghitung v_2:
, kita dapat menghitung v_2:
 
    Maka:
 
    Hasil akhir: Kecepatan aliran air pada bagian kedua pipa adalah 8 m/s.
Jangan lupa juga untuk mempelajari rumus kelajuan
Masih Pusing dengan Hukum Bernoulli? Minta Bantuan Guru di Superprof Sekarang!
Jika kamu merasa pusing atau bingung dengan rumus gaya angkat pesawat, gaya gesek atau teori fisika lainnya, jangan khawatir! Kamu bisa belajar dengan cara yang lebih mudah dan menyenangkan bersama guru privat di Superprof. Di sana, banyak guru profesional yang siap membantu menjelaskan konsep-konsep fisika dengan cara yang lebih sederhana dan bisa menyesuaikan dengan gaya belajarmu.
Jadi, jangan ragu untuk meminta bantuan dan memaksimalkan pembelajaranmu dengan guru yang tepat!









 Loading...
Loading...








